LEMON Manuals: Even more car manuals for everyone: 1960-2025
Home >> Acura >> 1992 >> NSX Automatic >> Repair and Diagnosis >> Engine Performance >> System >> Engine Controls - System & Component Testing >> Computerized Engine Controls >> PGM-FI Control System >> Check Engine Light Stays On After 2 Seconds
April 5, 2026: LEMON Manuals is launched! Read the announcement.

Check Engine Light Stays On After 2 Seconds

Fig 1: Check Engine Light Stays On Diagnostic Flow Chart (1 Of 3)
G00096365Courtesy of AMERICAN HONDA MOTOR CO., INC.
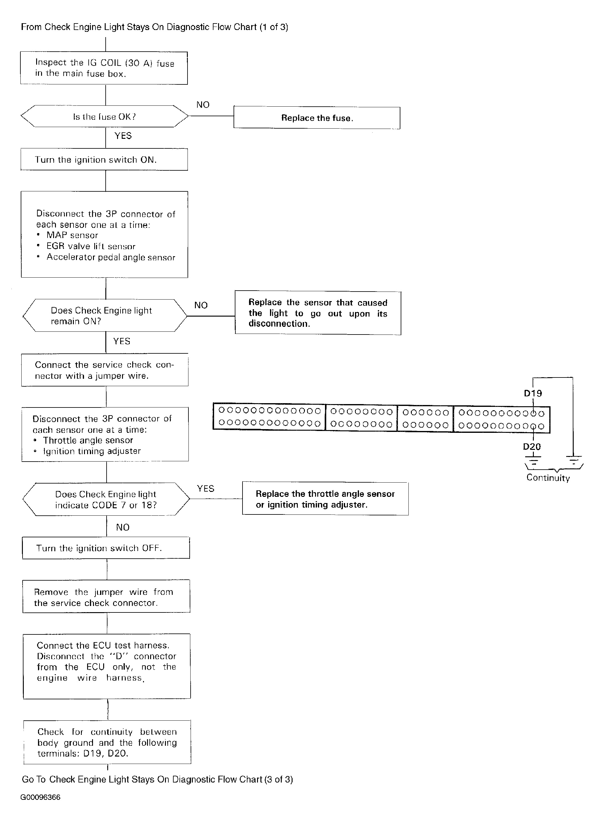
Fig 2: Check Engine Light Stays On Diagnostic Flow Chart (2 Of 3)
G00096366Courtesy of AMERICAN HONDA MOTOR CO., INC.
Fig 3: Check Engine Light Stays On Diagnostic Flow Chart (3 Of 3)
G00096367Courtesy of AMERICAN HONDA MOTOR CO., INC.