LEMON Manuals: Even more car manuals for everyone: 1960-2025
Home >> Buick >> 2007 >> Rendezvous V6-3.5L >> Repair and Diagnosis >> Powertrain Management >> Computers and Control Systems >> Testing and Inspection >> Scan Tool Testing and Procedures >> Scan Tool Data List
April 5, 2026: LEMON Manuals is launched! Read the announcement.

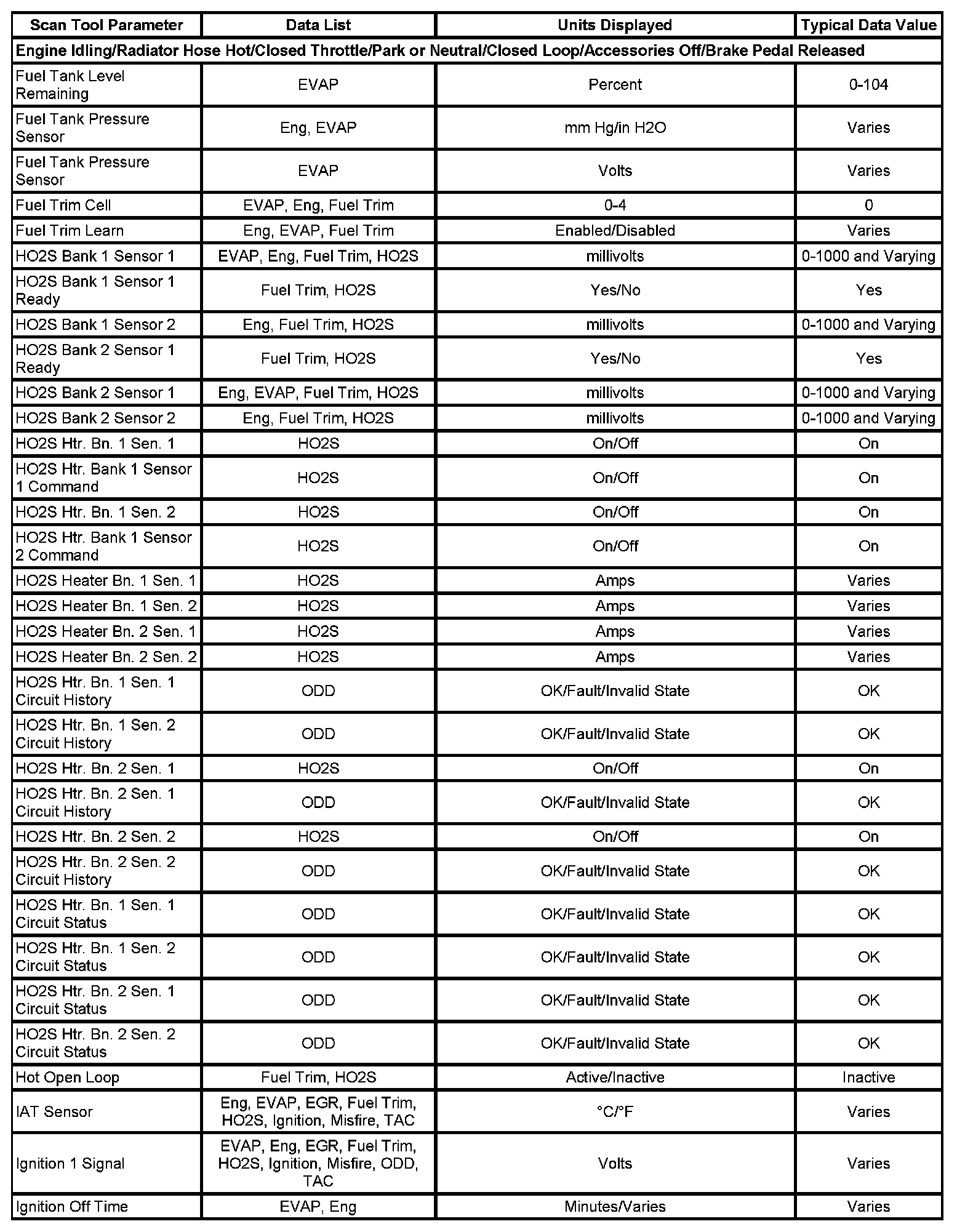
Scan Tool Data List



Scan Tool Data List

















The Engine Scan Tool Data List contains all engine-related parameters that are available on the scan tool. The list is arranged in alphabetical order. A given parameter may appear in any one of the data lists, and in some cases may appear more than once, or in more than one data list in order to group certain related parameters together.

Use the Engine Scan Tool Data List only after the following is determined:

* The Diagnostic Trouble Code (DTC) List - Vehicle is completed
* No diagnostic trouble codes (DTCs)
* On-board diagnostics are functioning properly.

The scan tool values from a properly running engine may be used for comparison with the engine you are diagnosing. The Engine Scan Tool Data List represents values that would be seen on a normally running engine.

Important: A scan tool that displays faulty data should not be used. The scan tool concern should be reported to the manufacturer. Use of a faulty scan tool can result in misdiagnosis and unnecessary parts replacement.

Only the parameters listed below are referenced in this service manual for use in diagnosis. If all values are within the typical range described below, refer to Symptoms - Computers and Control Systems for diagnosis. - Symptoms - Engine Controls

The column labeled Data List indicates where a parameter can be located on the scan tool. Refer to the scan tool operating manual for the exact locations of the data lists. The following is a description of each term listed:

Eng
- Engine data

EGR
- Exhaust gas recirculation (EGR) data

EVAP
- Evaporative emission (EVAP) data

FUEL TRIM
- Fuel trim data

HO2S
- Heated oxygen sensor (HO2S) data

Ignition
- Ignition system data

Misfire
- Misfire data

ODD
- Output driver data

TAC Output
- Throttle actuator control data