LEMON Manuals: Even more car manuals for everyone: 1960-2025
Home >> Buick >> 2013 >> Regal L4-2.4L >> Repair and Diagnosis >> Hybrid Drive Systems >> Power Control System >> Specifications
April 5, 2026: LEMON Manuals is launched! Read the announcement.

Power Control System: Specifications





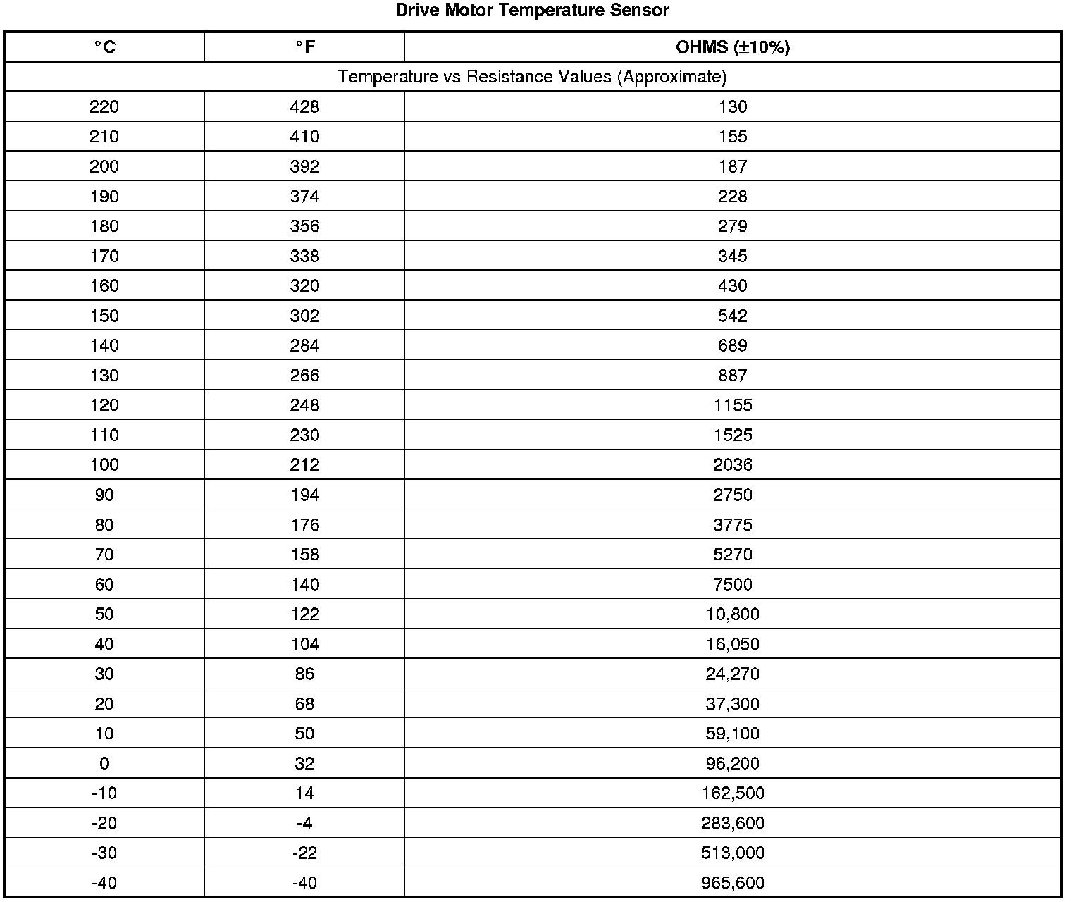
Temperature Versus Resistance