LEMON Manuals: Even more car manuals for everyone: 1960-2025
Home >> Cadillac >> 1994 >> Seville SLS >> Repair and Diagnosis >> Engine Performance >> System >> Engine Controls - Tests W/Codes - 4.6L >> Pcm Code Charts >> Code P055, Closed TP Sensor Out Of Range >> Action
April 5, 2026: LEMON Manuals is launched! Read the announcement.

Code P055, Closed TP Sensor Out Of Range: Action

PCM learned TP sensor value set to zero.

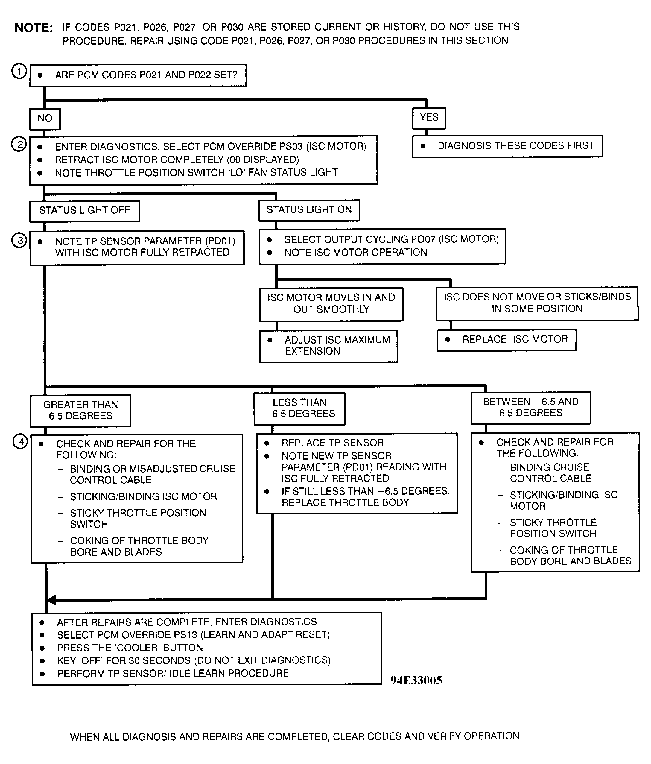
NOTE: Test numbers refer to numbers on diagnostic chart.
  1. Checks for ISC/TP sensor codes causing Code P055 to set.
  2. Checks if TP sensor is really out of range or if TP switch is open.
  3. Checks TP sensor adjustment. PCM Data PD01, TP sensor displays incorrect TP sensor so that it can be used to check TP sensor adjustment.
  4. If TP sensor is within range, ISC and throttle switch operation need to be checked. Check throttle linkage for proper operation, cruise control cable, proper throttle return spring operation and that throttle shaft and blades are free.
Fig 1: Code P055 Schematic (4.6L)
G94E32957Courtesy of GENERAL MOTORS CORP.
Fig 2: Code P055 Flow Chart (4.6L)
G94E33005Courtesy of GENERAL MOTORS CORP.