LEMON Manuals: Even more car manuals for everyone: 1960-2025
Home >> Cadillac >> 2003 >> Seville SLS >> Repair and Diagnosis (Single Page) >> Engine Mechanical >> Engine Mechanical - 4.6L >> Specifications >> Thread Repair Specifications >> Engine Block Front Thread Repair Specifications
April 5, 2026: LEMON Manuals is launched! Read the announcement.

Engine Block Front Thread Repair Specifications

Fig 1: Engine Block Front Thread Repair Specifications (1 Of 2)
G02069453Courtesy of GENERAL MOTORS CORP.
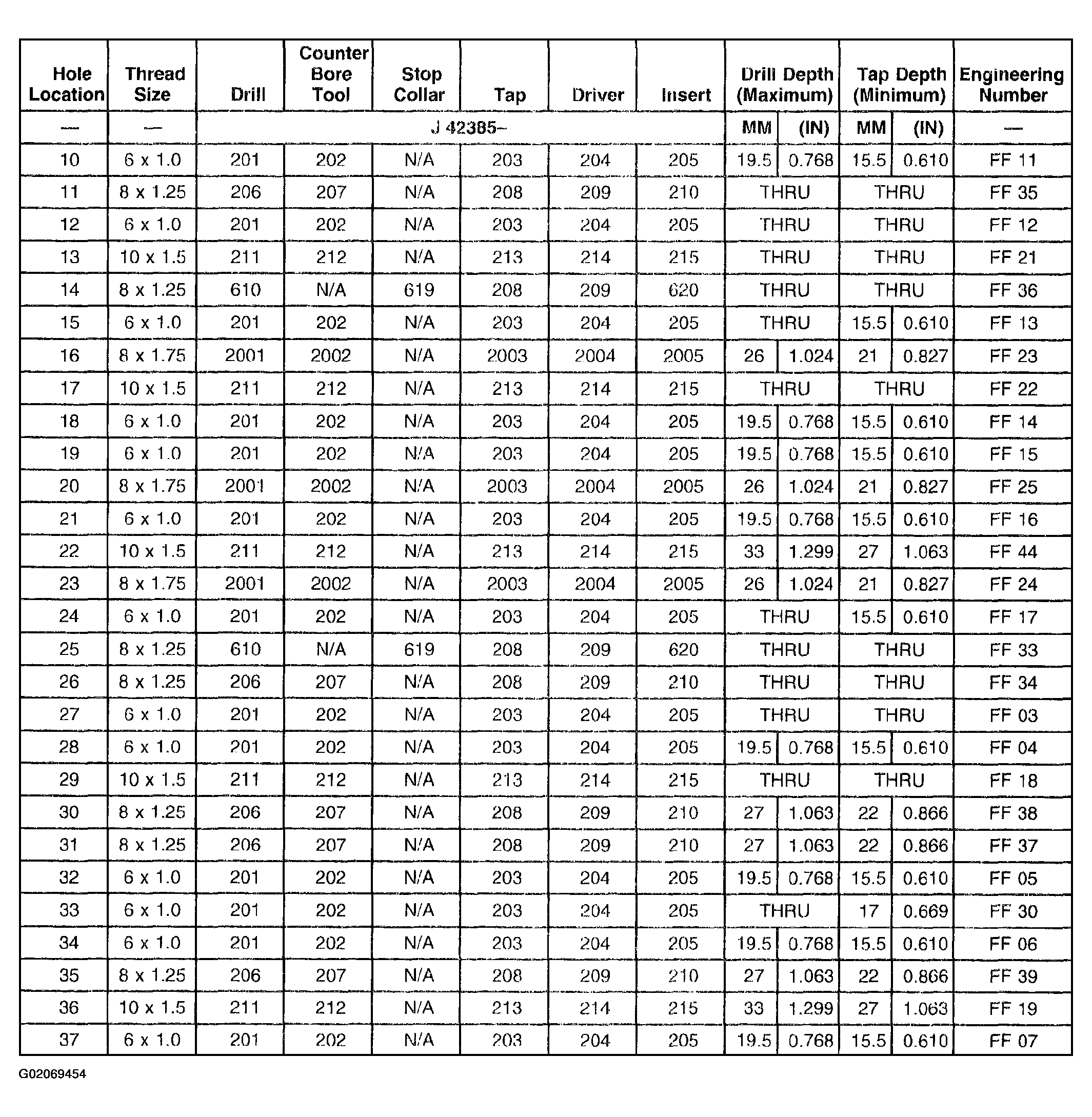
Fig 2: Engine Block Front Thread Repair Specifications (2 Of 2)
G02069454Courtesy of GENERAL MOTORS CORP.