LEMON Manuals: Even more car manuals for everyone: 1960-2025
Home >> Chevrolet >> 1983 >> Chevette L4-98 1.6L >> Repair and Diagnosis >> Powertrain Management >> Ignition System >> Electronic Spark Control Module >> Testing and Inspection
April 5, 2026: LEMON Manuals is launched! Read the announcement.

Electronic Spark Control Module: Testing and Inspection

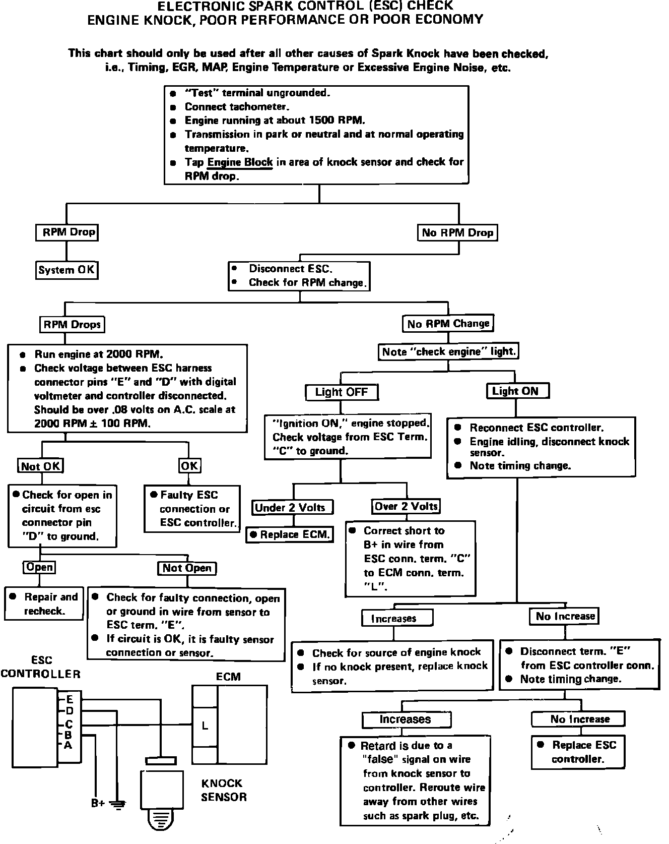
Fig. 6a ESC Performance Chart: