LEMON Manuals: Even more car manuals for everyone: 1960-2025
Home >> Chevrolet >> 1994 >> Astro Van Cargo Extended, 4.3 Z >> Repair and Diagnosis >> Engine Performance >> System >> Engine Controls - Basic Testing >> A-4, Injector Circuit Diagnosis >> Engine Controls - Basic Testing >> Diagnostic Aids
April 5, 2026: LEMON Manuals is launched! Read the announcement.

Diagnostic Aids

The PCM has integrated circuits that are protected, therefore, if a circuit has failed, the IC may not be damaged and will keep the circuit open until the fault in the circuit has been corrected. When the fault has been corrected, reinstall PCM and check circuit. Replace PCM only if circuit is still operative.

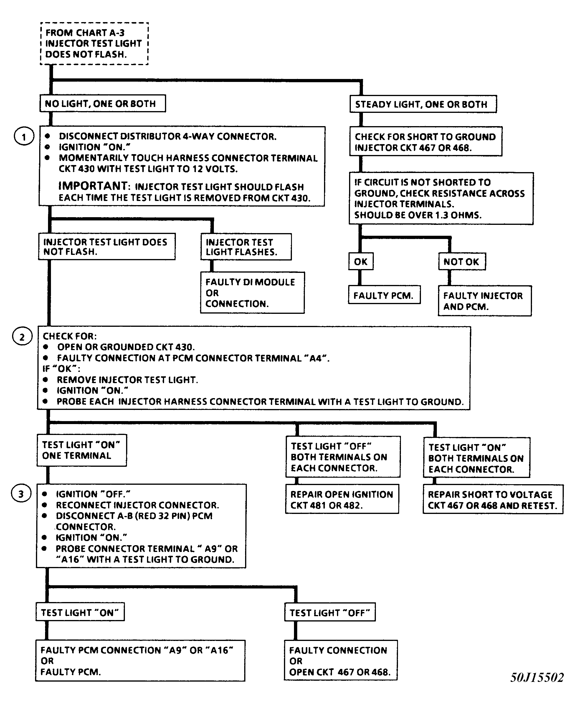
Fig 1: Chart A-4, Injector Circuit Diagnosis (TBI)
G50J15502Courtesy of GENERAL MOTORS CORP.
Fig 2: Chart A-4 Schematic, Injector Circuit Diagnosis (TBI)
G50A15503Courtesy of GENERAL MOTORS CORP.
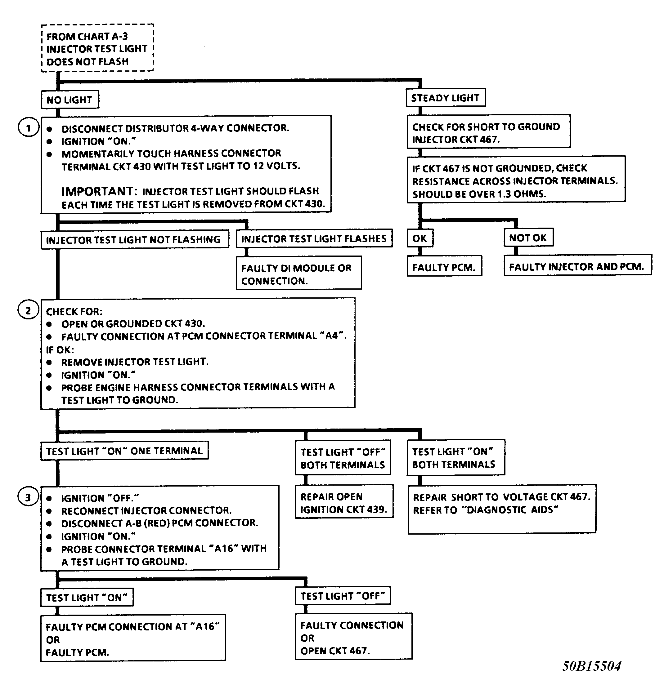
Fig 3: Chart A-4, Injector Circuit Diagnosis (CPI)
G50B15504Courtesy of GENERAL MOTORS CORP.
Fig 4: Chart A-4 Schematic, Injector Circuit Diagnosis (CPI)
G50C15505Courtesy of GENERAL MOTORS CORP.