LEMON Manuals: Even more car manuals for everyone: 1960-2025
Home >> Chevrolet >> 2002 >> Cavalier L4-2.2L VIN F >> Repair and Diagnosis >> Specifications >> Mechanical Specifications >> Engine >> Cylinder Block Assembly >> System Specifications
April 5, 2026: LEMON Manuals is launched! Read the announcement.

System Specifications

Fastener Tightening Specifications








General








Overhaul

Engine Mechanical Specifications





General











Overhaul

Tightening Sequence





Cylinder Head
Refer to the procedure Service and Repair

Camshaft Bearing Caps
Refer to the procedure Service and Repair





Exhaust Manifold

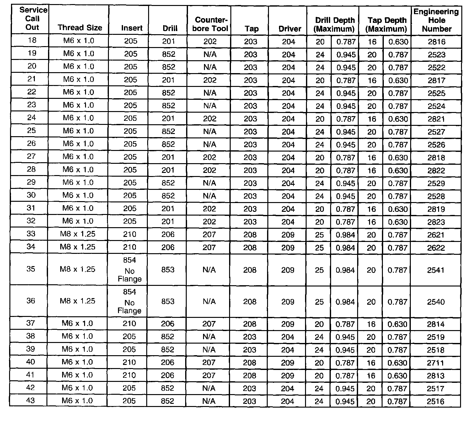
Thread Repair Specifications











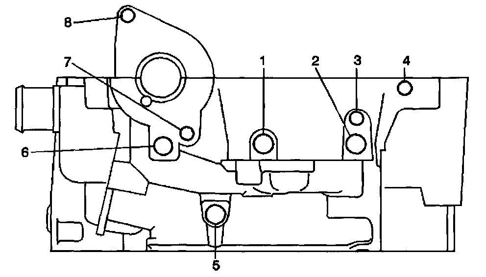
Engine Block-Front View








Engine Block-Back View








Engine Block-Left Side View











Engine Block-Bottom View











Engine Block-Right Side View











Engine Block-Top View








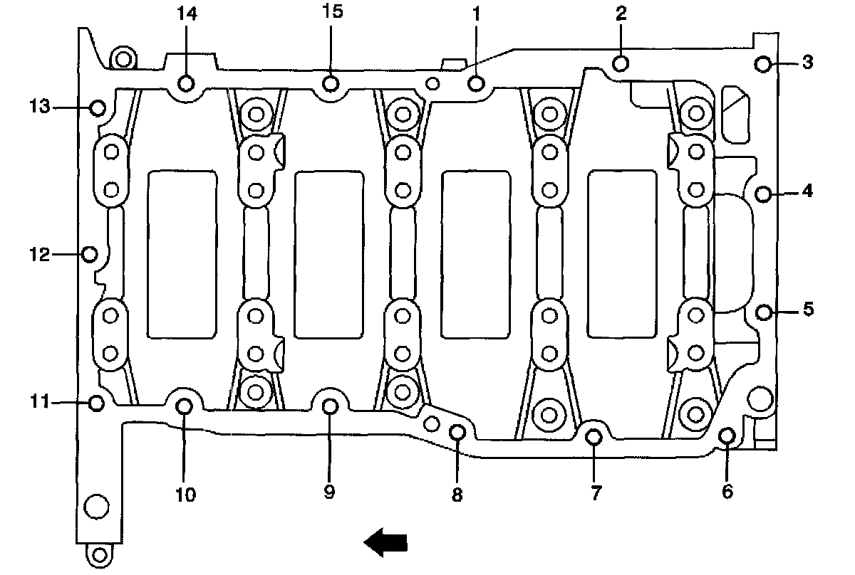
Lower Crankcase - Front View








Lower Crankcase-Back View








Lower Crankcase - Bottom View








Lower Crankcase - Left View








Lower Crankcase-Right View











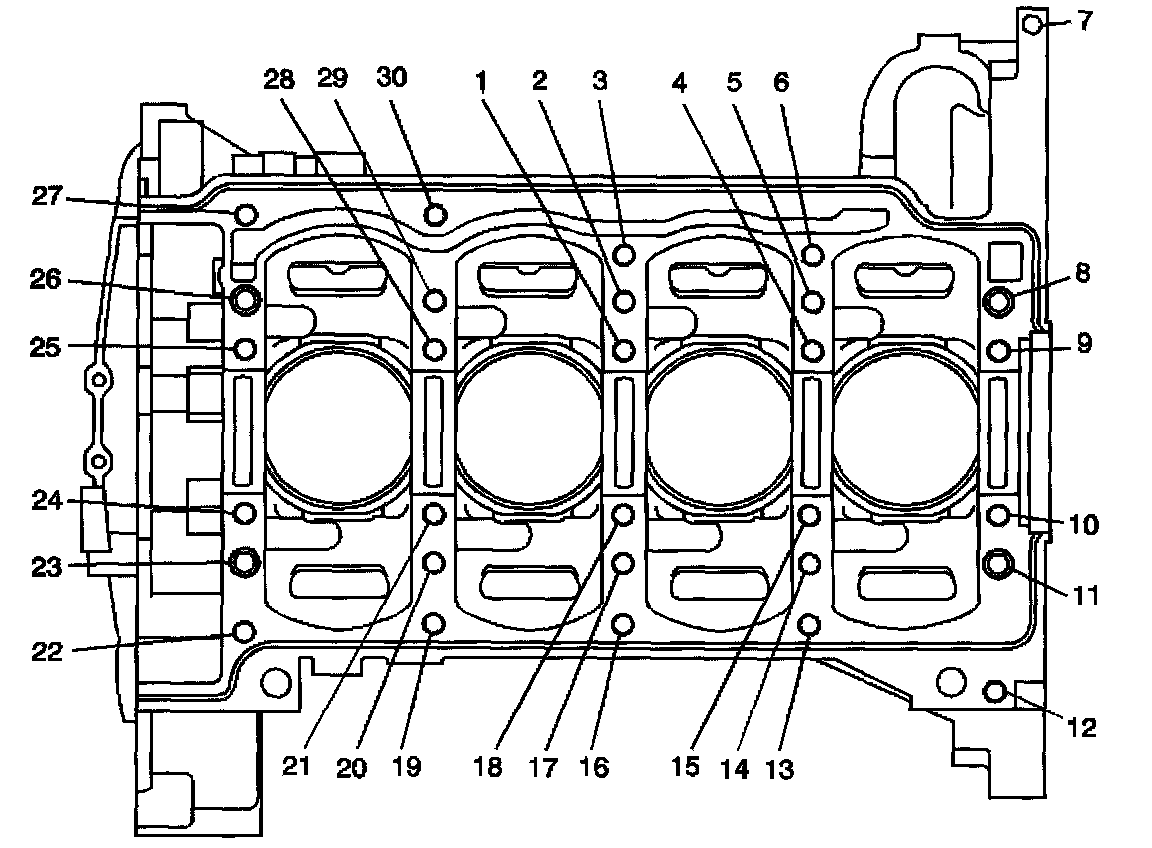
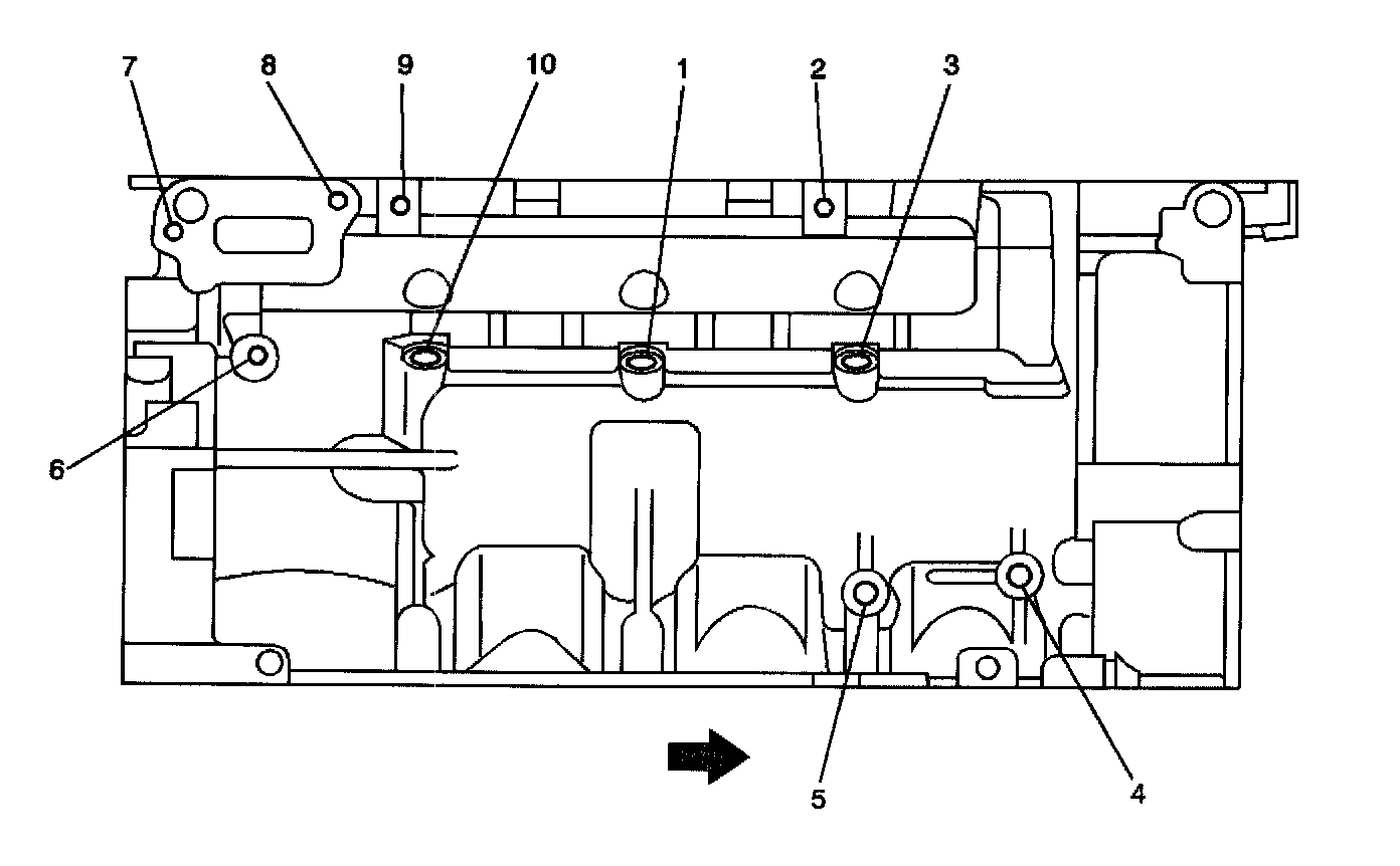
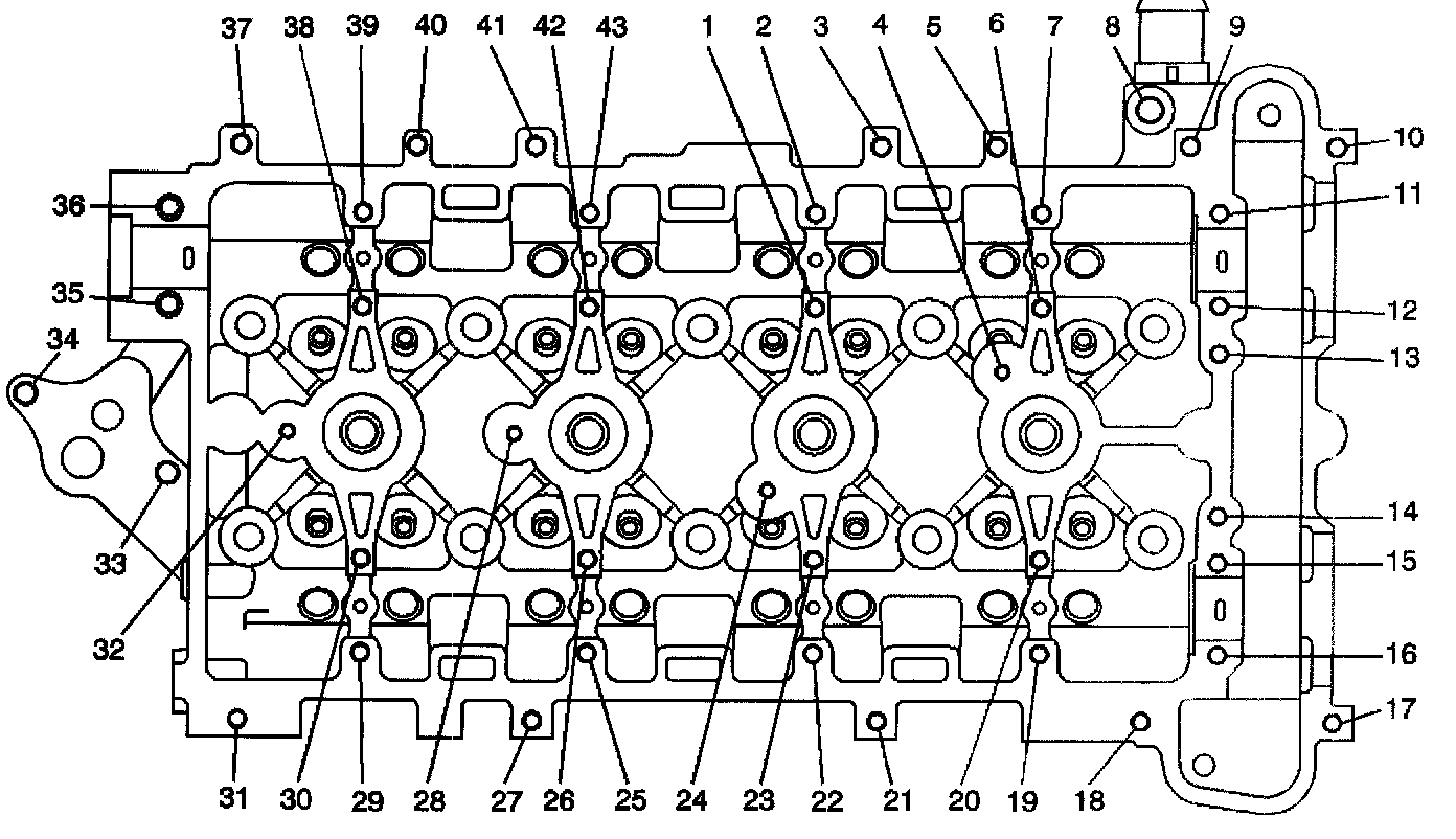
Cylinder Head-Top View








Cylinder Head-Intake Manifold Deck View








Cylinder Head-Exhaust Manifold Deck View








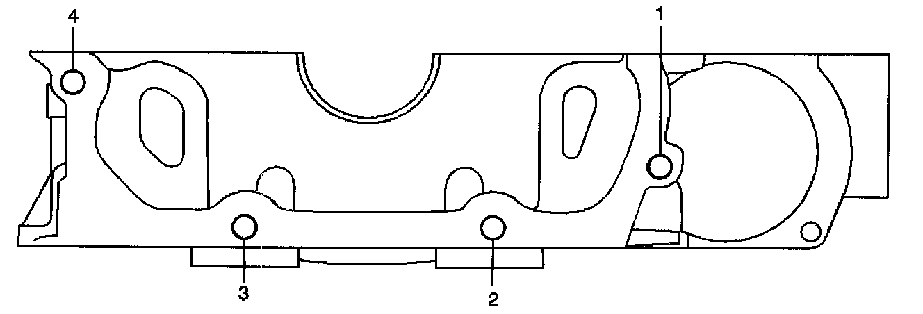
Cylinder Head-Front View








Cylinder Head-Back View
Note: 1, 2, 5, 6 holes are oil passages.








Cylinder Head-Bottom View