LEMON Manuals: Even more car manuals for everyone: 1960-2025
Home >> Chevrolet >> 2004 >> Classic L4-2.2L VIN F >> Repair and Diagnosis >> Specifications >> Mechanical Specifications >> Engine >> System Specifications >> Thread Repair Specifications
April 5, 2026: LEMON Manuals is launched! Read the announcement.

Thread Repair Specifications

Thread Repair Specifications








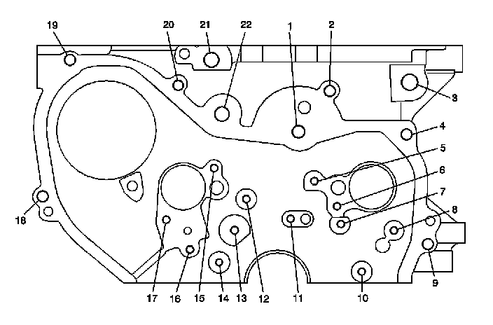
Engine Block - Front View








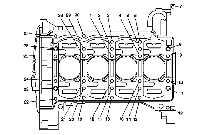
Engine Block - Back View








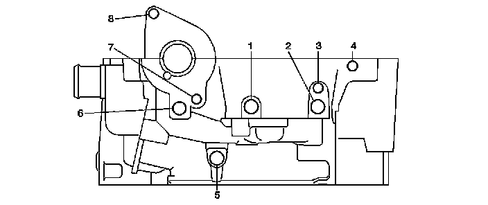
Engine Block - Left Side View








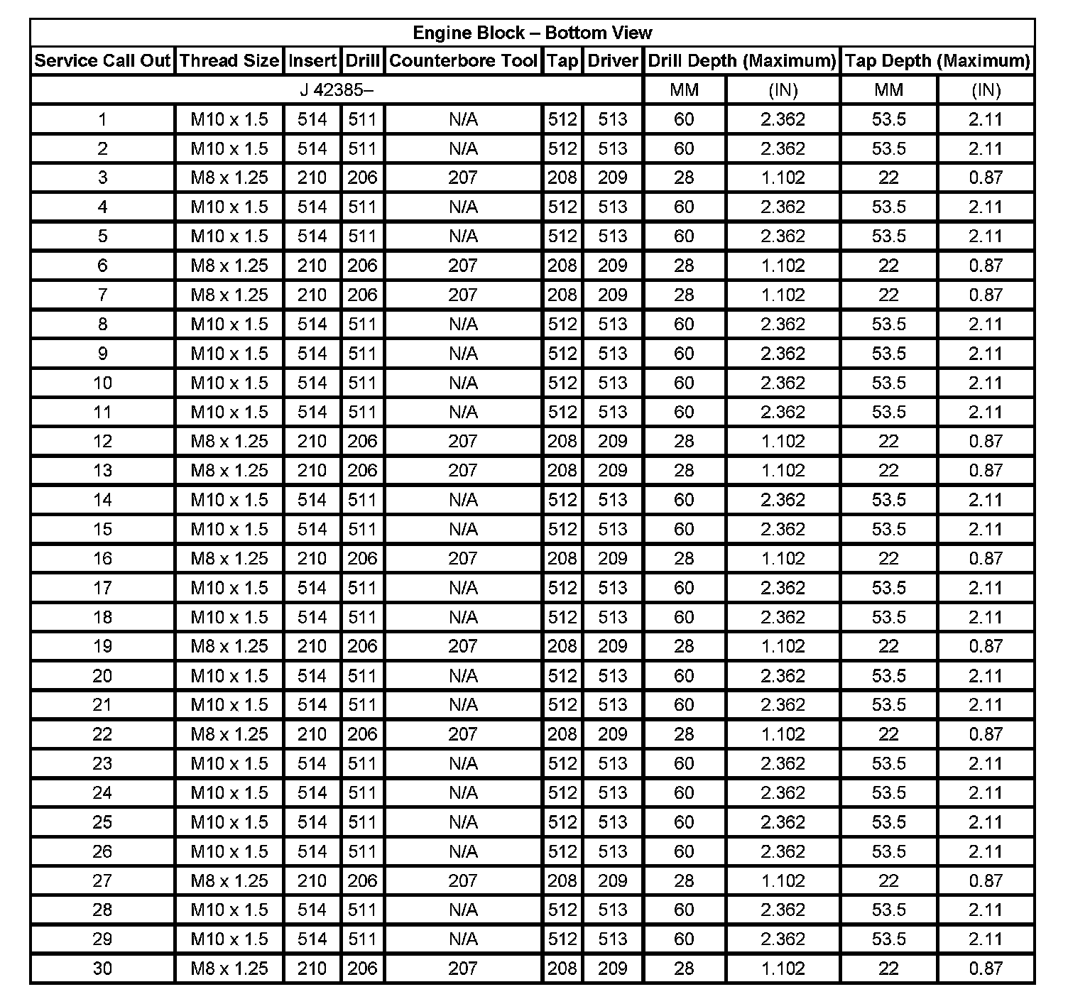
Engine Block - Bottom View








Engine Block - Right Side View








Engine Block - Top View








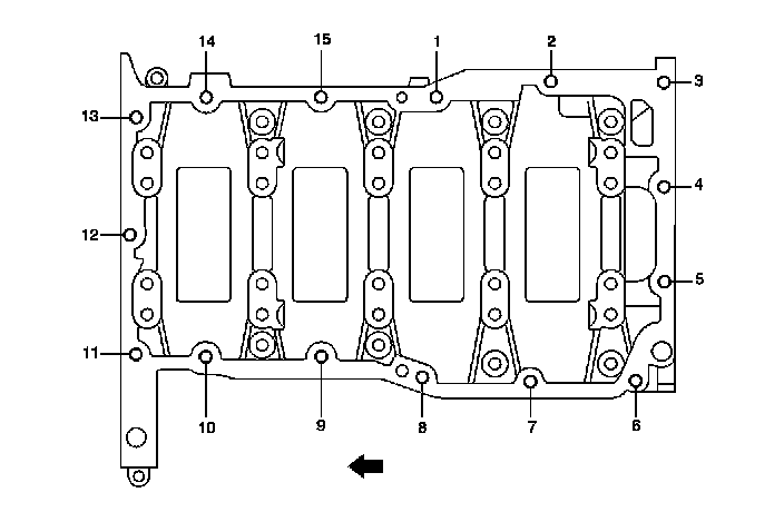
Lower Crankcase - Front View








Lower Crankcase - Back View








Lower Crankcase - Bottom View








Lower Crankcase - Left View








Lower Crankcase - Right View











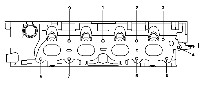
Cylinder Head - Top View








Cylinder Head - Intake Manifold Deck View








Cylinder Head - Exhaust Manifold Deck View








Cylinder Head - Front View








Cylinder Head - Back View








Cylinder Head - Bottom View