LEMON Manuals: Even more car manuals for everyone: 1960-2025
Home >> Chevrolet >> 2004 >> Optra (CANADA) L4-2.0L >> Repair and Diagnosis >> Specifications >> Electrical Specifications >> Automatic Transmission/Transaxle >> System Specifications >> Range Reference
April 5, 2026: LEMON Manuals is launched! Read the announcement.

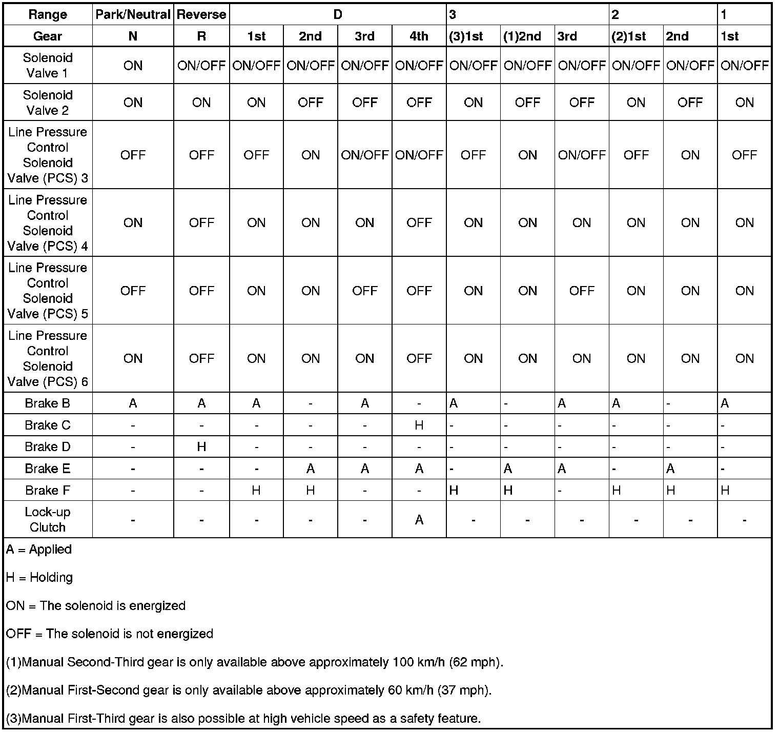
Range Reference




Range Reference