LEMON Manuals: Even more car manuals for everyone: 1960-2025
Home >> Chevrolet >> 2008 >> Impala V6-3.5L >> Repair and Diagnosis >> Powertrain Management >> Specifications
April 5, 2026: LEMON Manuals is launched! Read the announcement.

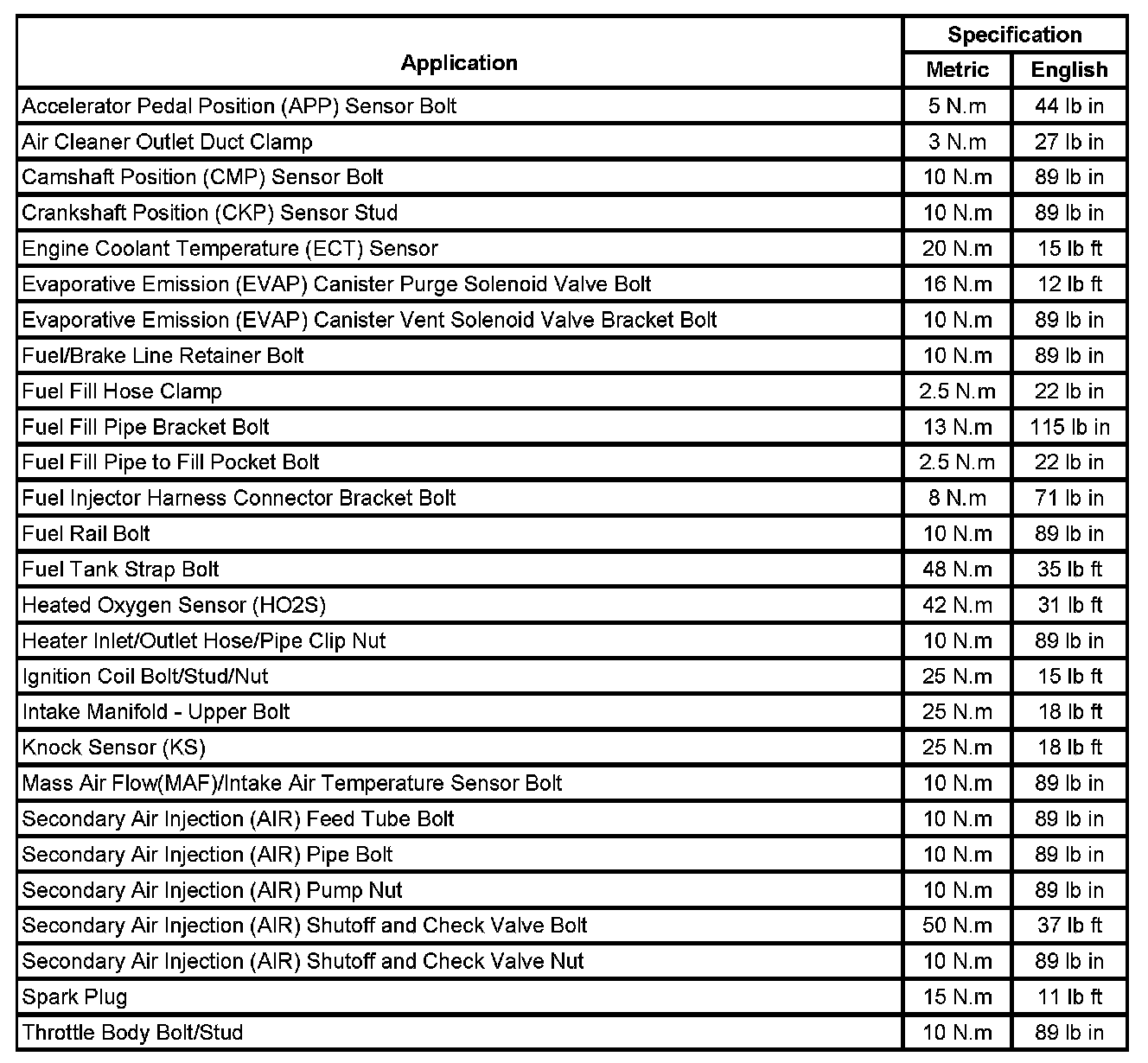
Powertrain Management: Specifications



Fastener Tightening Specifications