LEMON Manuals: Even more car manuals for everyone: 1960-2025
Home >> Chevrolet >> 2010 >> Express 2500 V8-4.8L >> Repair and Diagnosis >> Specifications >> Electrical Specifications >> Computers and Control Systems >> Temperature Versus Resistance
April 5, 2026: LEMON Manuals is launched! Read the announcement.

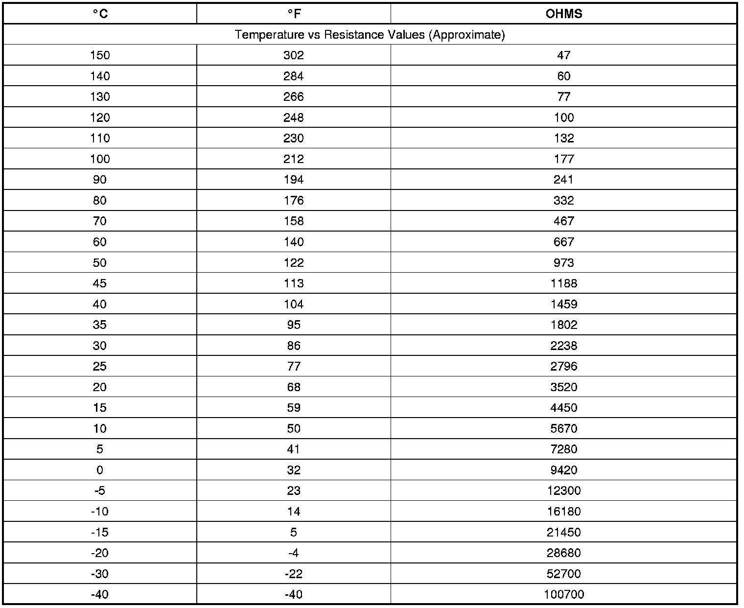
Temperature Versus Resistance




Temperature Versus Resistance