LEMON Manuals: Even more car manuals for everyone: 1960-2025
Home >> Chevrolet >> 2011 >> Volt L4-1.4L Elect >> Repair and Diagnosis >> Hybrid Drive Systems >> Power Control System >> Specifications
April 5, 2026: LEMON Manuals is launched! Read the announcement.

Power Control System: Specifications




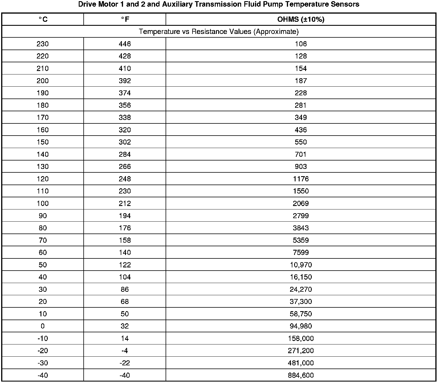
Temperature Versus Resistance