LEMON Manuals: Even more car manuals for everyone: 1960-2025
Home >> Chevrolet >> 2013 >> Malibu L4-2.0L Turbo >> Repair and Diagnosis >> Specifications >> Fluid Type Specifications >> Engine >> System Specifications
April 5, 2026: LEMON Manuals is launched! Read the announcement.

System Specifications





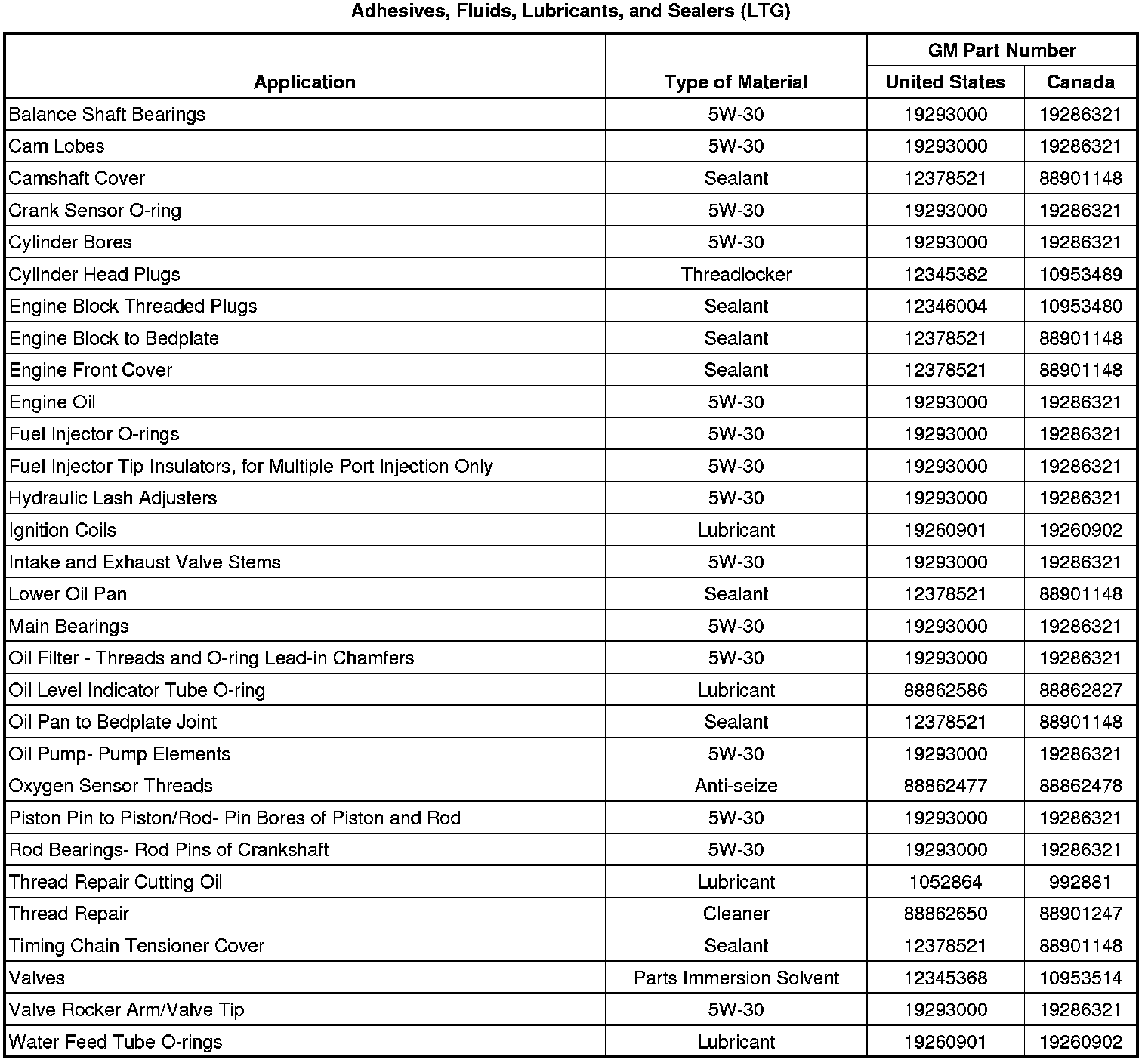
Adhesives, Fluids, Lubricants, and Sealers (LTG)