LEMON Manuals: Even more car manuals for everyone: 1960-2025
Home >> Dodge and Ram >> 2000 >> Viper RT/10 >> Repair and Diagnosis >> Engine Performance >> System >> Engine Control Self-Diagnostics >> Symptom Testing >> No Crank Condition
April 5, 2026: LEMON Manuals is launched! Read the announcement.

No Crank Condition

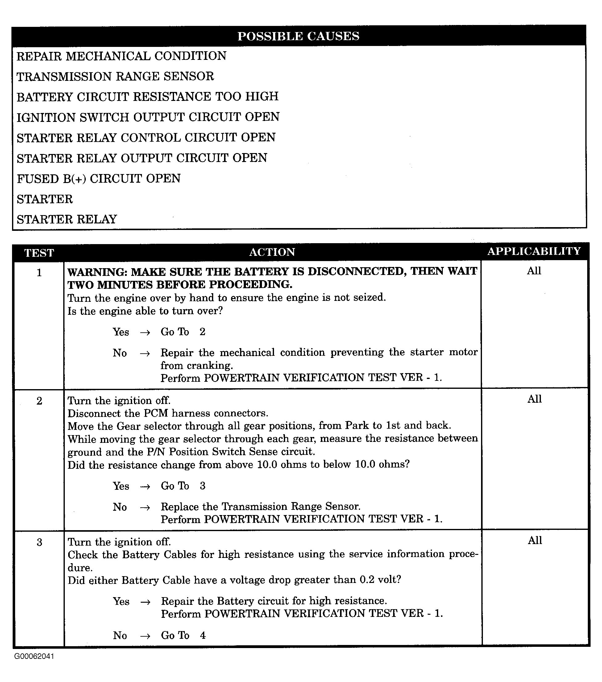
Fig 1: No Crank Condition (1 Of 3)
G00062041Courtesy of DAIMLERCHRYSLER CORPORATION
Fig 2: No Crank Condition (2 Of 3)
G00062042Courtesy of DAIMLERCHRYSLER CORPORATION
Fig 3: No Crank Condition (3 Of 3)
G00062043Courtesy of DAIMLERCHRYSLER CORPORATION