LEMON Manuals: Even more car manuals for everyone: 1960-2025
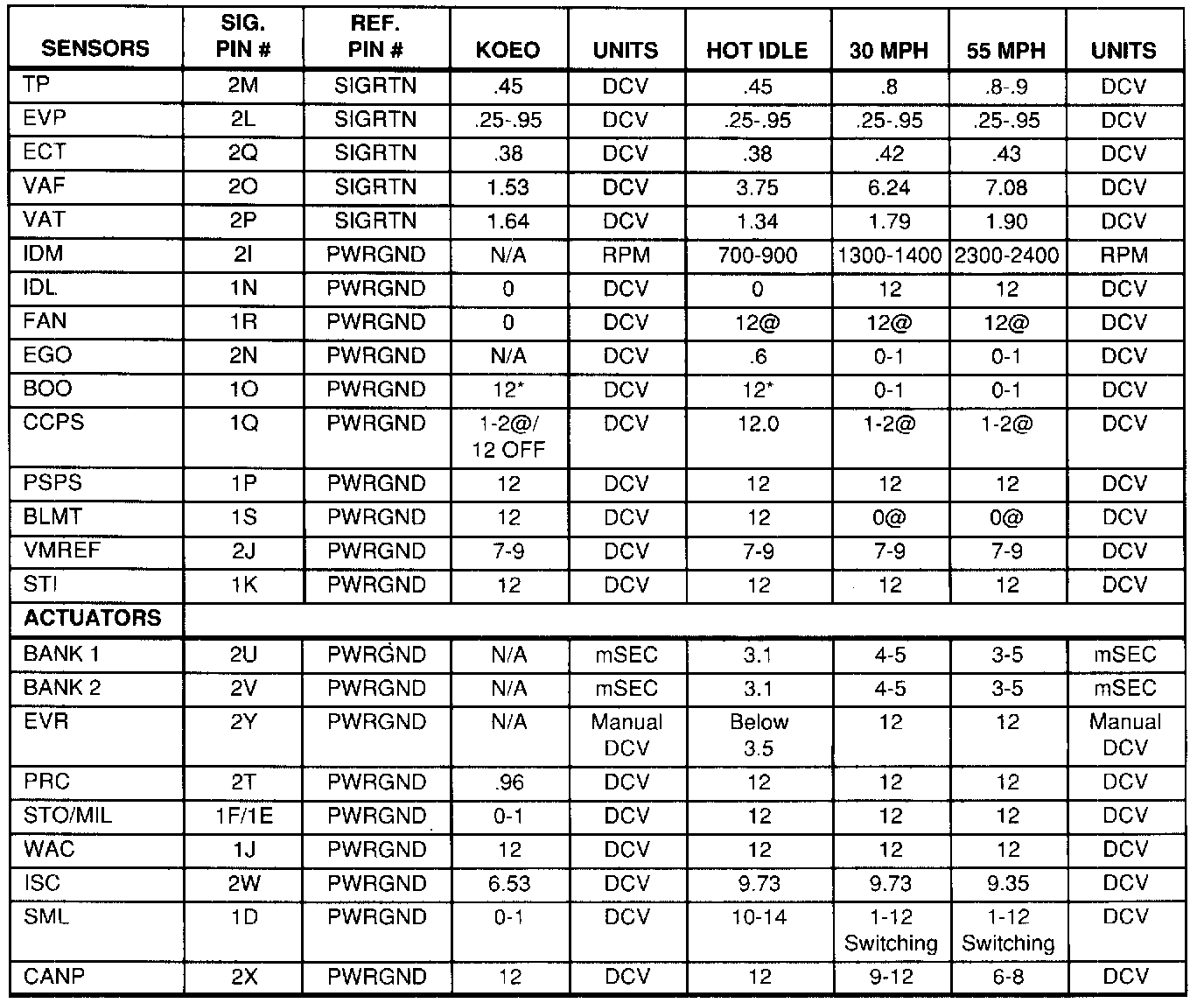
Home >> Ford >> 1990 >> Probe L4-133 2.2L SOHC >> Repair and Diagnosis >> Powertrain Management >> Computers and Control Systems >> Testing and Inspection >> Scan Tool Testing and Procedures >> Normal Scan Data Values (Includes PID's) >> Diagnostic Reference Values >> Automatic Transmission
April 5, 2026: LEMON Manuals is launched! Read the announcement.

Automatic Transmission

Diagnostic Reference Values: