LEMON Manuals: Even more car manuals for everyone: 1960-2025
Home >> GMC >> 1983 >> Jimmy 6.2 C >> Repair and Diagnosis >> Engine Performance >> System >> Feedback Carburetor Component Test >> System Performance Check - Testing
April 5, 2026: LEMON Manuals is launched! Read the announcement.

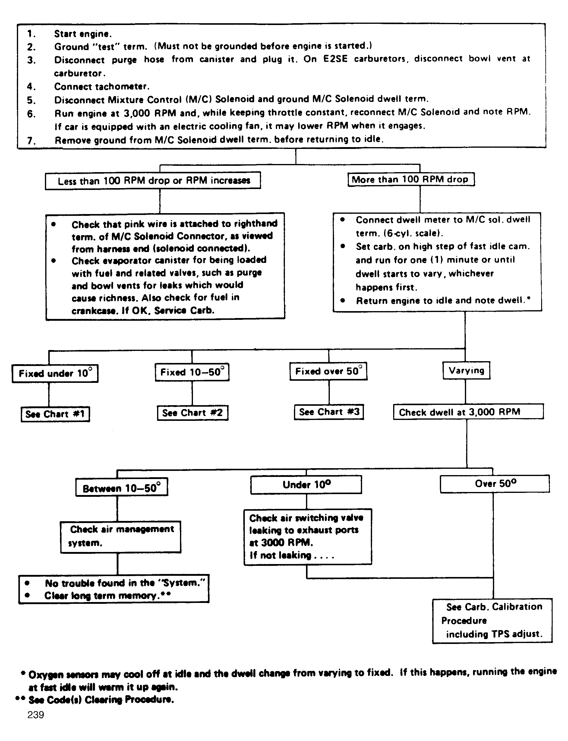
System Performance Check - Testing

Fig 1: System Performance Check Chart
G239