LEMON Manuals: Even more car manuals for everyone: 1960-2025
Home >> Geo >> 1989 >> Spectrum 2D Hatchback, Automatic >> Repair and Diagnosis >> Engine Performance >> System >> Tests W/Codes >> System Performance Check
April 5, 2026: LEMON Manuals is launched! Read the announcement.

System Performance Check

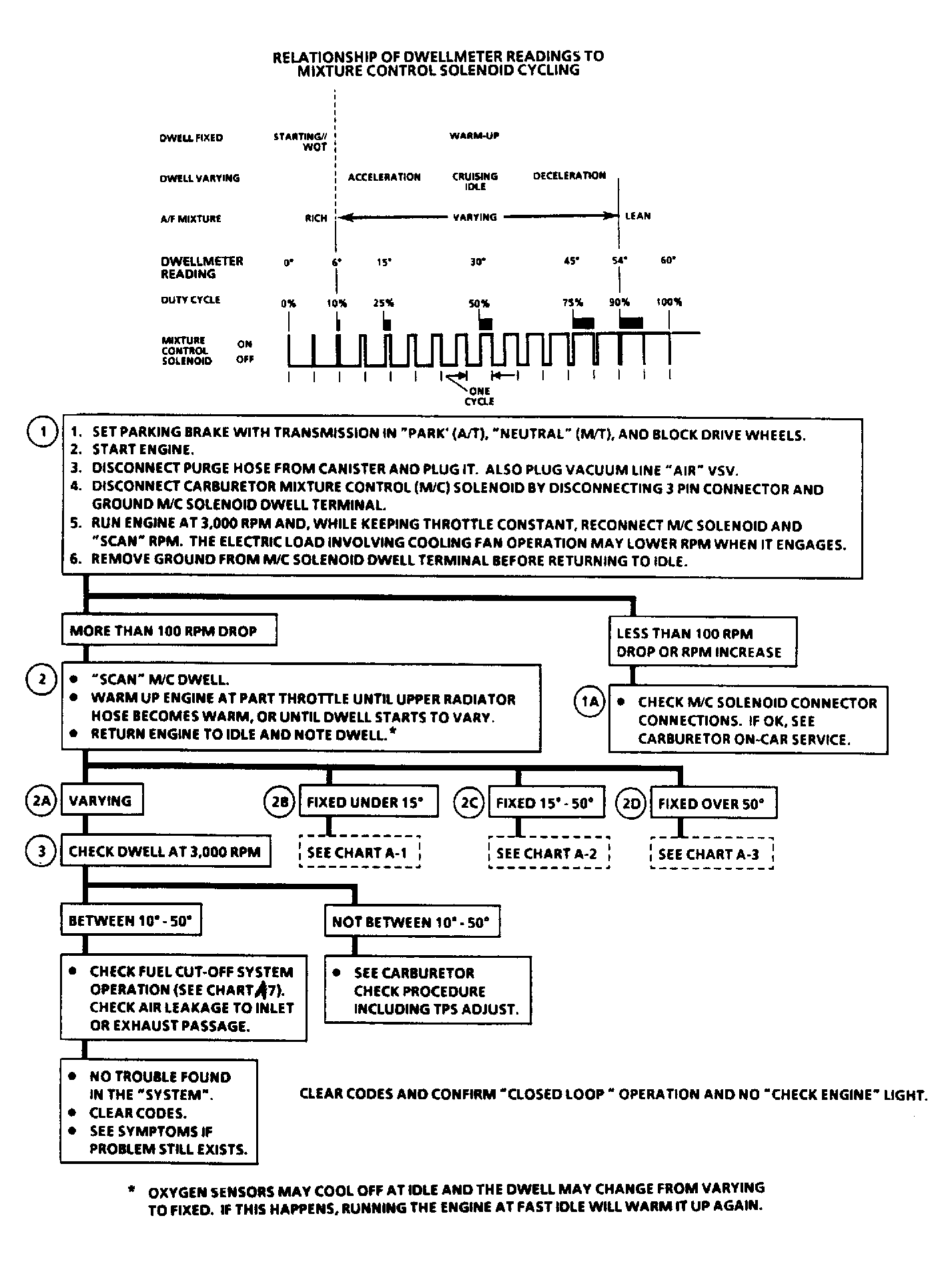
NOTE: Test numbers refer to test numbers on diagnostic chart.
  1. Checks for the ability of carburetor main metering system to change the Air/Fuel mixture. Disconnecting M/C solenoid makes the carburetor operate full-rich (0% duty cycle) and reconnecting it with the dwell lead grounded make it operate full-lean (100% duty cycle). Normal response is for RPM to drop as M/C solenoid is reconnected. Normal drop should be within a 300-1000 RPM range. 1A) If plugging the PCV, Purge, or Bowl Vent vacuum hose causes RPM to drop over 300 RPM, that hose leads to the source of the problem. If RPM increases as M/C solenoid is connected, it indicates the system is running extremely rich. This can sometimes be caused by incorrect valve timing.
  2. Checks for proper control of idle circuit. 2A) Normal reading - operates in "CLOSED LOOP" - dwell is between 10-50°, but varying. Run engine for one minute at fast idle to make sure the oxygen sensor is warm. 2B) There is an "OPEN LOOP" condition. It can be caused by, an open oxygen sensor circuit or bad sensor, an open in coolant sensor circuit or an open in CKT 413 from ECM terminal No. 20 to ground. 2C) This is a full rich command to the carburetor and can be caused by, a lean condition, grounded oxygen sensor CKT 412 to ECM terminal No. 3 or bad sensor, open in CKT 413 from ECM terminal No. 20 to ground, or an open in coolant sensor CKT No.s 410 or 452. 2D) This is a full lean command which can be caused by, rich engine condition via M/C solenoid wire connections reversed, leaking bowl vent valve, excessive fuel in vapor canister, fuel in crankcase, faulty carburetor/calibration or silicon contaminated oxygen sensor.
  3. Check for proper control of main metering system. At least 3000 RPMs must be reached to gain main metering system operation.
Fig 1: System Performance Check Diagram & Flow Chart
G121653Courtesy of GENERAL MOTORS CORP.