LEMON Manuals: Even more car manuals for everyone: 1960-2025
Home >> Geo >> 1993 >> Metro XFi >> Repair and Diagnosis >> Engine Performance >> System >> Engine Controls - Basic Testing >> Fuel System >> Fuel Pressure
April 5, 2026: LEMON Manuals is launched! Read the announcement.

Fuel Pressure

NOTE: For fuel pump specifications, see FUEL PUMP PERFORMANCE  table.

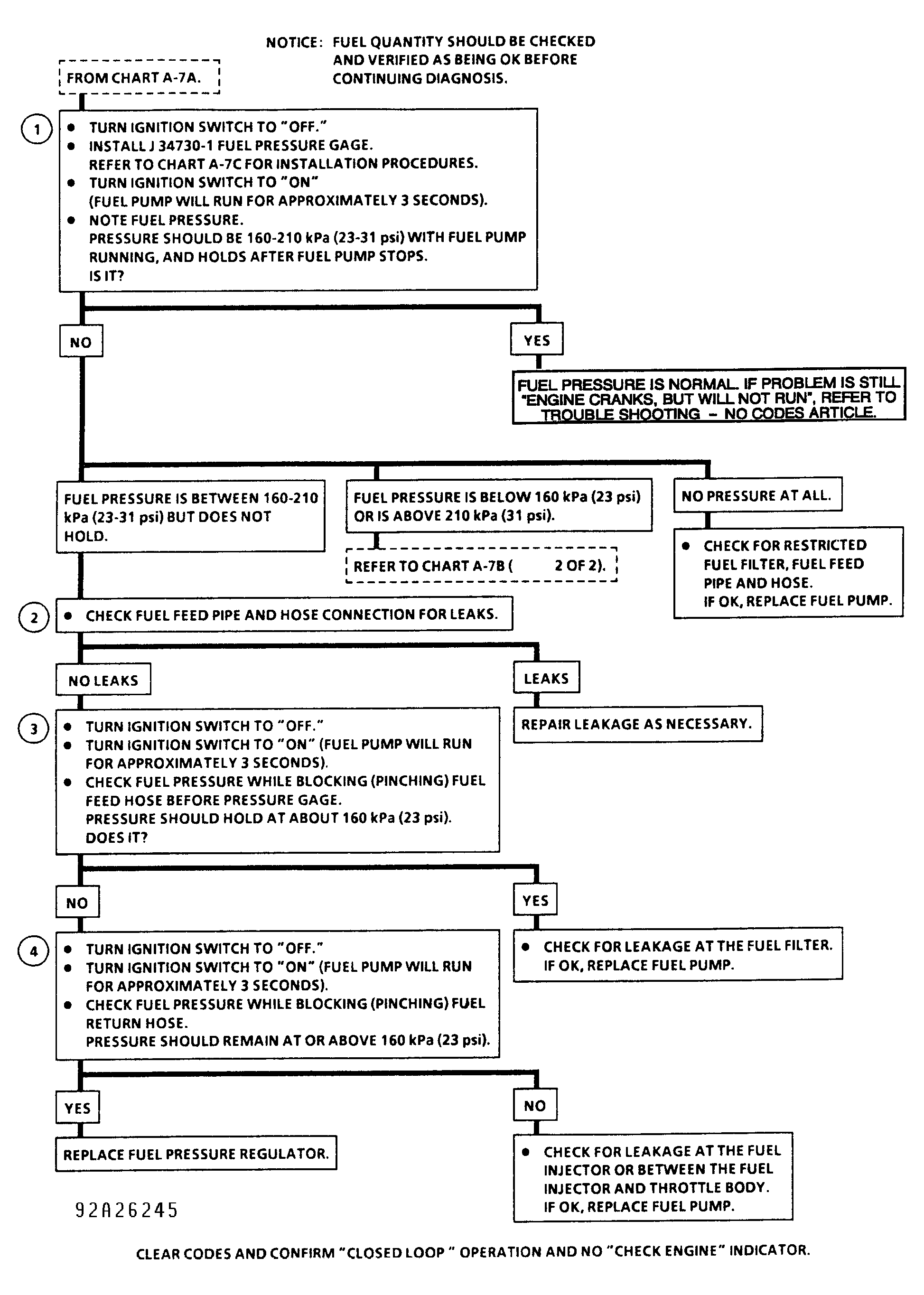
Release fuel pressure. See FUEL PRESSURE RELEASE  . Disconnect negative battery cable. Remove air cleaner assembly. Remove fuel inlet hose from throttle body. Install Fuel Pressure Gauge (J-34730-1) and Adapter (J-34730-75). See Fig 1 . Reconnect negative battery cable. Check fuel pressure. SeeFigure , Figure and Figure . Release fuel pressure. Remove fuel pressure gauge.

Fig 1: Installing Fuel Pressure Gauge
G91C16354Courtesy of GENERAL MOTORS CORP.
FUEL PUMP PERFORMANCE

Application Pressure: psi (kg/cm2 )
Metro (1) 23-30 (1.6-2.1)
(1) With ignition on and engine off.