LEMON Manuals: Even more car manuals for everyone: 1960-2025
Home >> Geo >> 1994 >> Prizm Base, Automatic >> Repair and Diagnosis (Single Page) >> Engine Performance >> System >> Engine Controls - Tests W/Codes >> Diagnostic Code Charts (PRIZM) >> Code 22 (PRIZM) - Engine Coolant Temperature Sensor, Open Or Shorted Circuit >> Diagnostic Aids
April 5, 2026: LEMON Manuals is launched! Read the announcement.

Diagnostic Aids

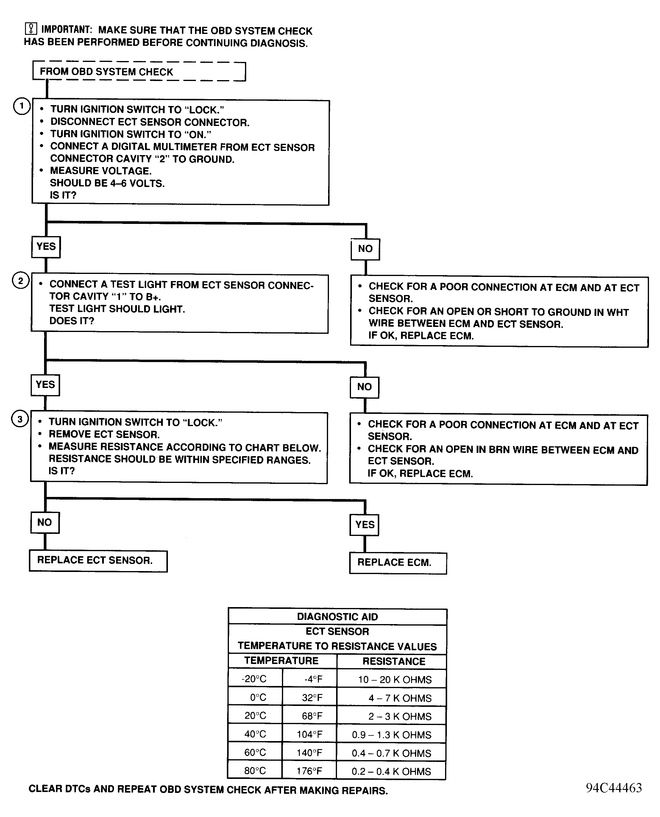
Ensure engine is not overheating and has not been subjected to conditions which would create an overheating condition (i.e., overload, trailer towing, hilly terrain, heavy stop and go traffic, etc.). When replacing ECT sensor, check TEMPERATURE TO RESISTANCE VALUES table. A "shifted" (mis-scaled) sensor could result in poor driveability complaints. If Codes 24, 31 and 41 are also set, problem is open in sensor ground circuit. An intermittent condition may be caused by poor connection, rubbed-through insulation, or a broken wire inside insulation. Check ECM harness connectors for backed-out terminals, improper mating, broken locks, improperly formed or damaged terminals, and poor terminal-to-wire connections before component replacement.

Fig 1: CODE 22 - Schematic (Prizm) Engine Coolant Temperature Sensor, Open Or Shorted Circuit
G93D78819
Fig 2: CODE 22 - Flow Chart (Prizm) Engine Coolant Temperature Sensor, Open Or Shorted Circuit
G94C44463