LEMON Manuals: Even more car manuals for everyone: 1960-2025
Home >> Geo >> 1994 >> Prizm Base, Automatic >> Repair and Diagnosis (Single Page) >> Engine Performance >> System >> Engine Controls - Tests W/Codes >> Diagnostic Code Charts (PRIZM) >> Code 31 (PRIZM) - Manifold Absolute Pressure Sensor, Open Or Shorted Circuit >> Diagnostic Aids
April 5, 2026: LEMON Manuals is launched! Read the announcement.

Diagnostic Aids

If Codes 22, 24 and 41 are also set, problem is open in sensor ground circuit. An intermittent condition may be caused by poor connection, rubbed-through insulation, or a broken wire inside insulation. Check ECM harness connectors for backed-out terminals, improper mating, broken locks, improperly formed or damaged terminals, and poor terminal-to-wire connections before component replacement.

Fig 1: CODE 31 - Schematic (Prizm) Manifold Absolute Pressure Sensor, Open Or Shorted Circuit
G93B78825
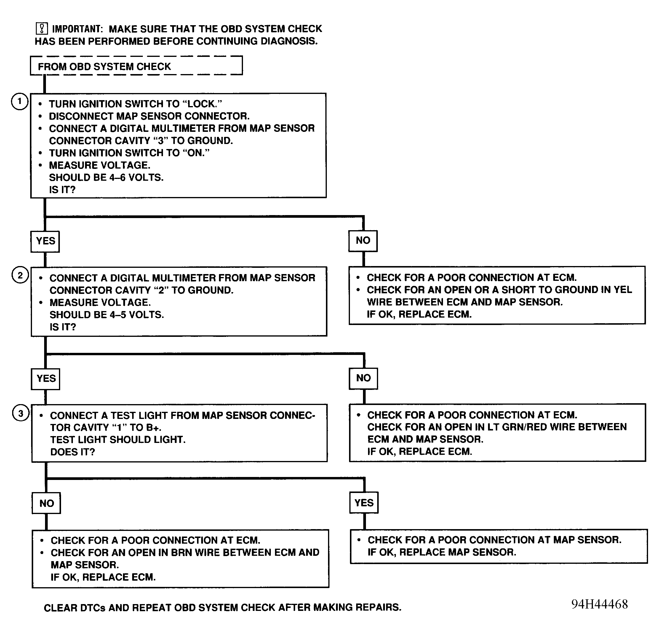
Fig 2: CODE 31 - Flow Chart (Prizm) Manifold Absolute Pressure Sensor, Open Or Shorted Circuit
G94H44468