LEMON Manuals: Even more car manuals for everyone: 1960-2025
Home >> Hyundai >> 2003 >> Accent Base >> Repair and Diagnosis >> External Pages >> Different variant/trim >> Section 1 (Automatic Transaxle System) >> Automatic Transaxle System >> Inspection Of Electronic Control System Components
April 5, 2026: LEMON Manuals is launched! Read the announcement.

Inspection Of Electronic Control System Components

WARNING: This page is about a different variant/trim than selected.
Fig 1: Wiring & Oil Temperature Sensor Inspection Flow Chart
G00963522Courtesy of HYUNDAI MOTOR CO.
Fig 2: Pulse Generator A Or B Inspection Flow Chart
G00963523Courtesy of HYUNDAI MOTOR CO.
Fig 3: Pressure Control Solenoid Valve & Shift Control Solenoid Valve Inspection Flow Chart
G00963524Courtesy of HYUNDAI MOTOR CO.
Fig 4: Damper Clutch System Inspection Flow Chart
G00963525Courtesy of HYUNDAI MOTOR CO.
Fig 5: Damper Clutch Control Solenoid Valve Inspection Flow Chart
G00963526Courtesy of HYUNDAI MOTOR CO.
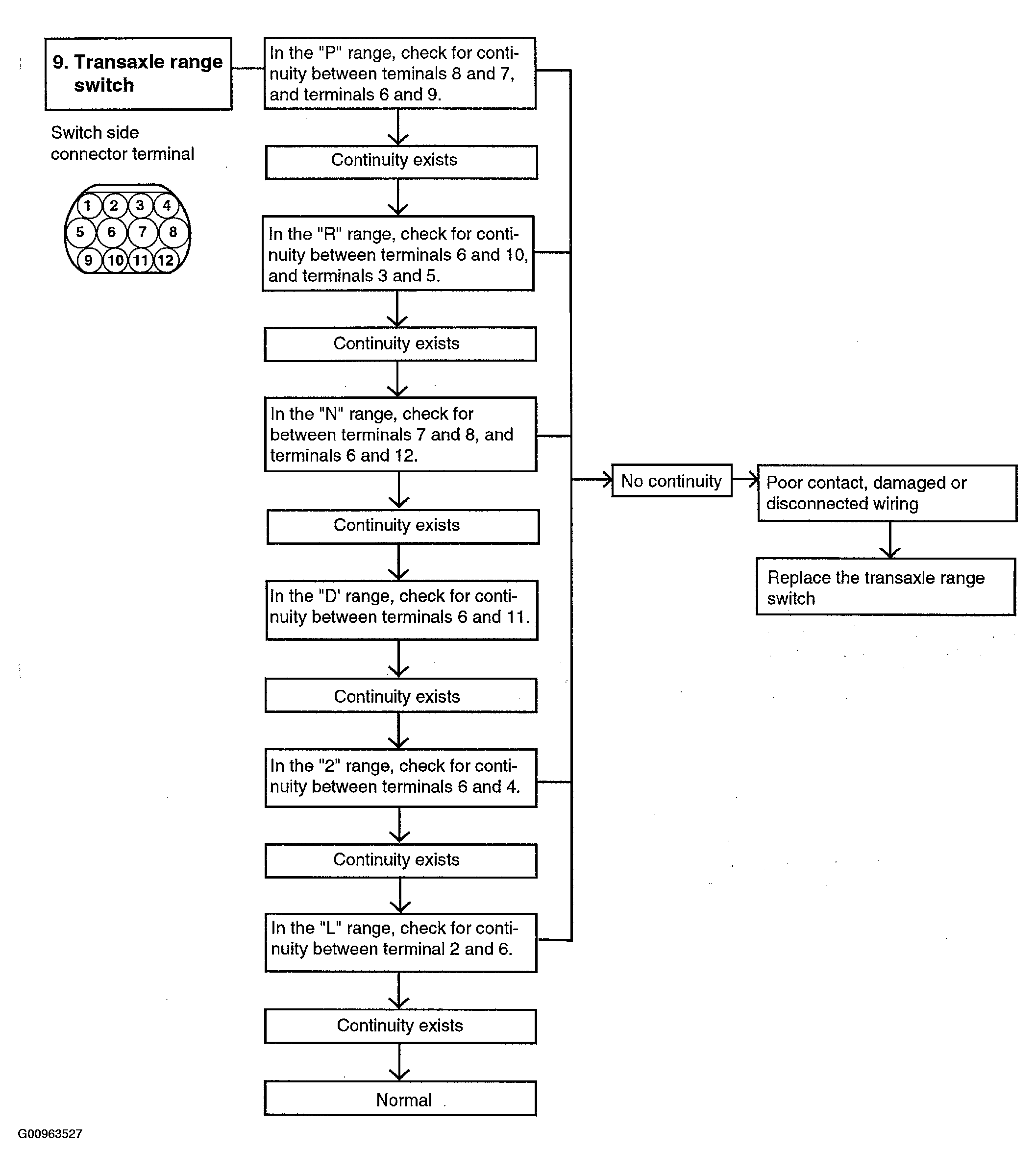
Fig 6: Transaxle Range Switch Inspection Flow Chart
G00963527Courtesy of HYUNDAI MOTOR CO.
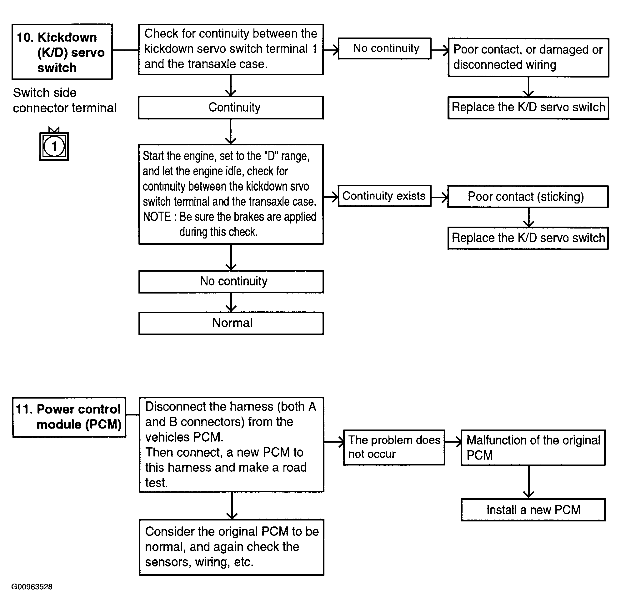
Fig 7: Kickdown Servo Switch & Power Control Module Inspection Flow Chart
G00963528Courtesy of HYUNDAI MOTOR CO.