LEMON Manuals: Even more car manuals for everyone: 1960-2025
Home >> Hyundai >> 2005 >> Tucson V6-2.7L >> Repair and Diagnosis >> Maintenance >> Alignment >> Testing and Inspection >> Lead/Pull Correction Chart
April 5, 2026: LEMON Manuals is launched! Read the announcement.

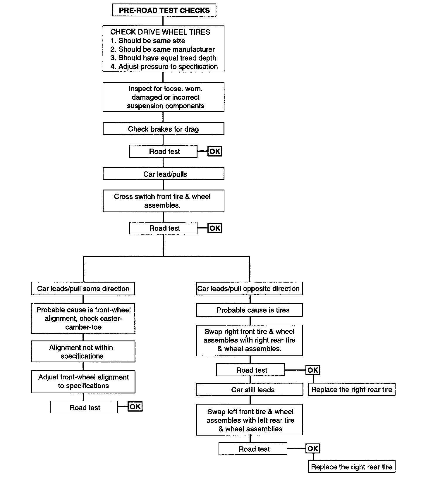
Lead/Pull Correction Chart