LEMON Manuals: Even more car manuals for everyone: 1960-2025
Home >> Infiniti >> 2004 >> M45 >> Repair and Diagnosis >> Engine Performance >> Engine Control System >> Index For DTC >> Alphabetical Index
April 5, 2026: LEMON Manuals is launched! Read the announcement.

Alphabetical Index

NOTE: If DTC U1000 or U1001 is displayed with other DTC, first perform the trouble diagnosis for DTC U1000, U1001. Refer to DTC U1000, U1001 CAN COMMUNICATION LINE .
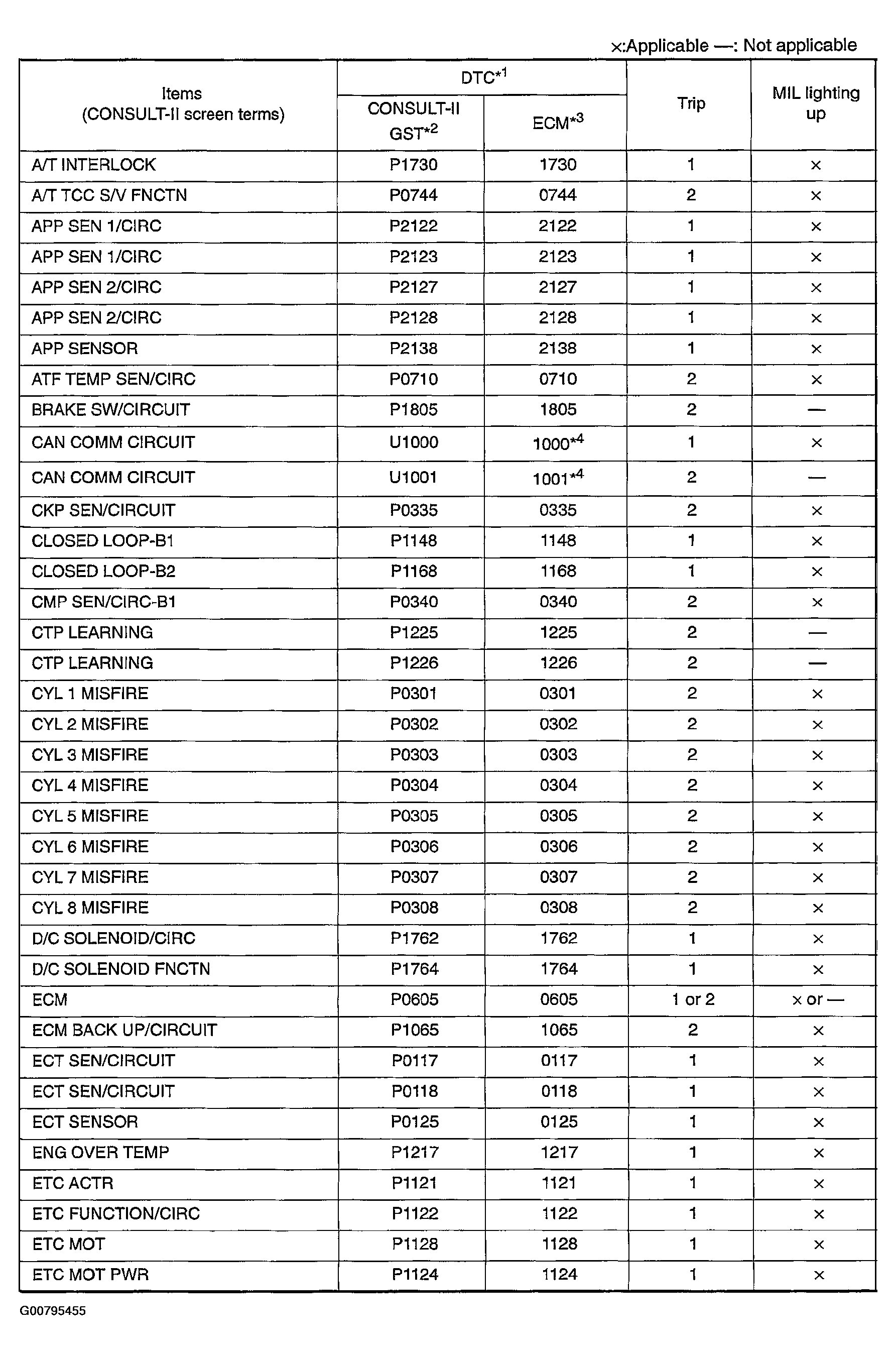
Fig 1: Identifying DTC Alphabetical Index Information (1 Of 4)
G00795455Courtesy of NISSAN MOTOR CO., U.S.A.
Fig 2: Identifying DTC Alphabetical Index Information (2 Of 4)
G00795456Courtesy of NISSAN MOTOR CO., U.S.A.
Fig 3: Identifying DTC Alphabetical Index Information (3 Of 4)
G00795457Courtesy of NISSAN MOTOR CO., U.S.A.
Fig 4: Identifying DTC Alphabetical Index Information (4 Of 4)
G00795458Courtesy of NISSAN MOTOR CO., U.S.A.