LEMON Manuals: Even more car manuals for everyone: 1960-2025
Home >> Infiniti >> 2004 >> Q45 >> Repair and Diagnosis >> Engine Performance >> Engine Control System >> Index For DTC >> Alphabetical Index
April 5, 2026: LEMON Manuals is launched! Read the announcement.

Alphabetical Index

NOTE: If DTC U1000 or U1001 is displayed with other DTC, first perform the trouble diagnosis for DTC U1000, U1001. Refer to DTC U1000, U1001 CAN COMMUNICATION LINE  .
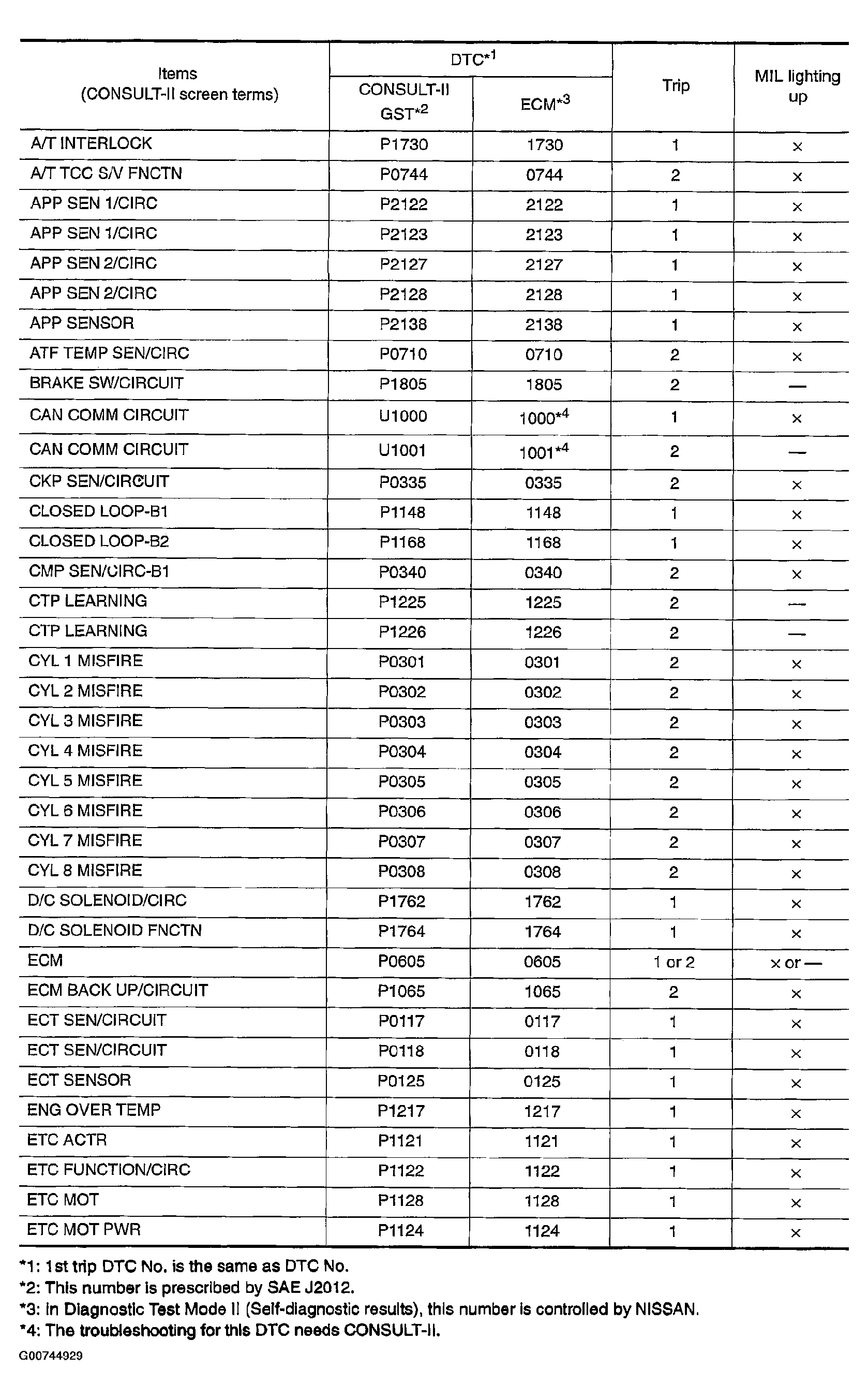
Fig 1: Alphabetical Index (1 Of 4)
G00744929Courtesy of NISSAN MOTOR CO., U.S.A.
Fig 2: Alphabetical Index (2 Of 4)
G00744930Courtesy of NISSAN MOTOR CO., U.S.A.
Fig 3: Alphabetical Index (3 Of 4)
G00744931Courtesy of NISSAN MOTOR CO., U.S.A.
Fig 4: Alphabetical Index (4 Of 4)
G00744932Courtesy of NISSAN MOTOR CO., U.S.A.