LEMON Manuals: Even more car manuals for everyone: 1960-2025
Home >> Isuzu >> 1992 >> Rodeo LS, 4WD, Automatic >> Repair and Diagnosis >> Engine Performance >> System >> Engine Controls - Tests W/Codes - 2.6L >> Code Charts >> Code 13 - Oxygen Sensor Circuit
April 5, 2026: LEMON Manuals is launched! Read the announcement.

Code 13 - Oxygen Sensor Circuit

Fig 1: Code No. 13 Schematic, Oxygen Sensor Circuit
G50C08441Courtesy of ISUZU MOTOR CO.
Fig 2: Code No. 13 Component Diagram, Secondary Air Injection Check
G91C16933Courtesy of ISUZU MOTOR CO.
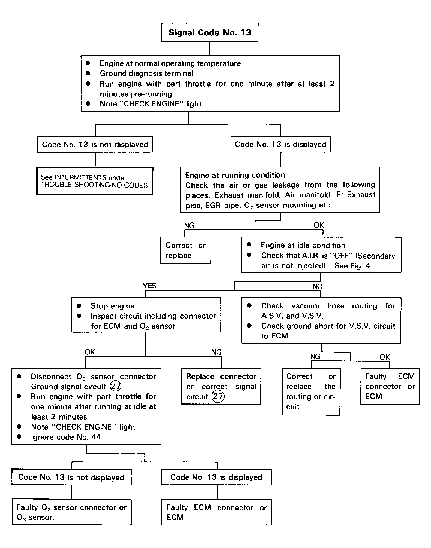
Fig 3: Code No. 13 Flow Chart, Oxygen Sensor Circuit
G91D16934Courtesy of ISUZU MOTOR CO.