LEMON Manuals: Even more car manuals for everyone: 1960-2025
Home >> Isuzu >> 1992 >> Rodeo LS, RWD, Automatic >> Repair and Diagnosis >> Engine Performance >> System >> Engine Controls - Tests W/Codes - 2.6L >> Code Charts >> Code 14 & 15 - Coolant Temperature Sensor
April 5, 2026: LEMON Manuals is launched! Read the announcement.

Code 14 & 15 - Coolant Temperature Sensor

Fig 1: Code No. 14, 15 Schematic, Coolant Temperature Sensor
G91E16935Courtesy of ISUZU MOTOR CO.
Fig 2: Code No. 14, 15 Connector, Coolant Temperature Sensor
G91F16936Courtesy of ISUZU MOTOR CO.
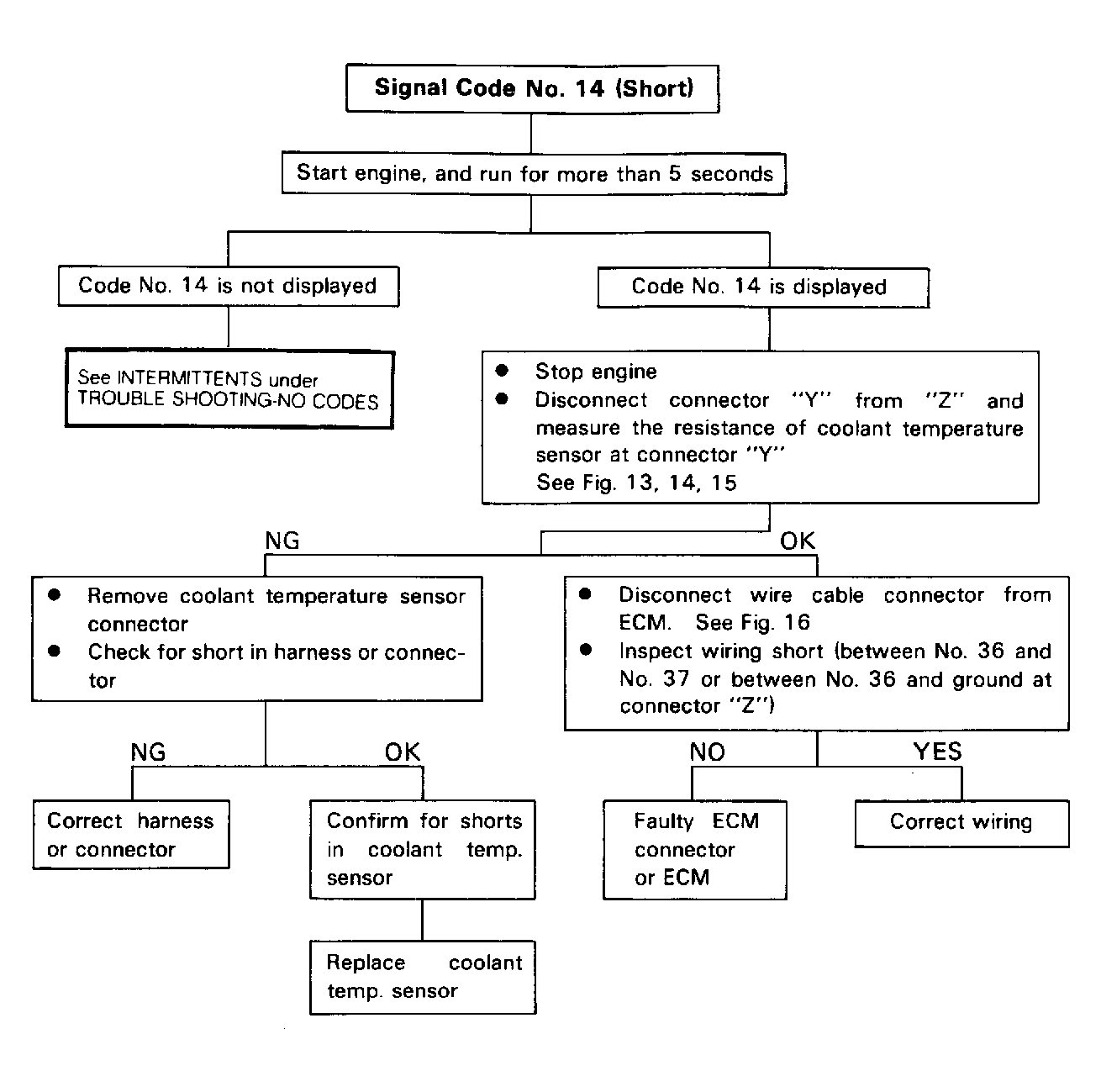
Fig 3: Code No. 14 Flow Chart, Shorted CTS Sensor
G91G16937Courtesy of ISUZU MOTOR CO.
Fig 4: Code No. 15 Flow Chart, Open CTS Sensor
G91G16937Courtesy of ISUZU MOTOR CO.