LEMON Manuals: Even more car manuals for everyone: 1960-2025
Home >> Isuzu >> 1993 >> Rodeo LS, RWD, Automatic >> Repair and Diagnosis >> Engine Performance >> System >> Engine Controls - Tests W/Codes - 2.6L >> Code Charts >> Code 13 - Heated O2 Sensor Circuit
April 5, 2026: LEMON Manuals is launched! Read the announcement.

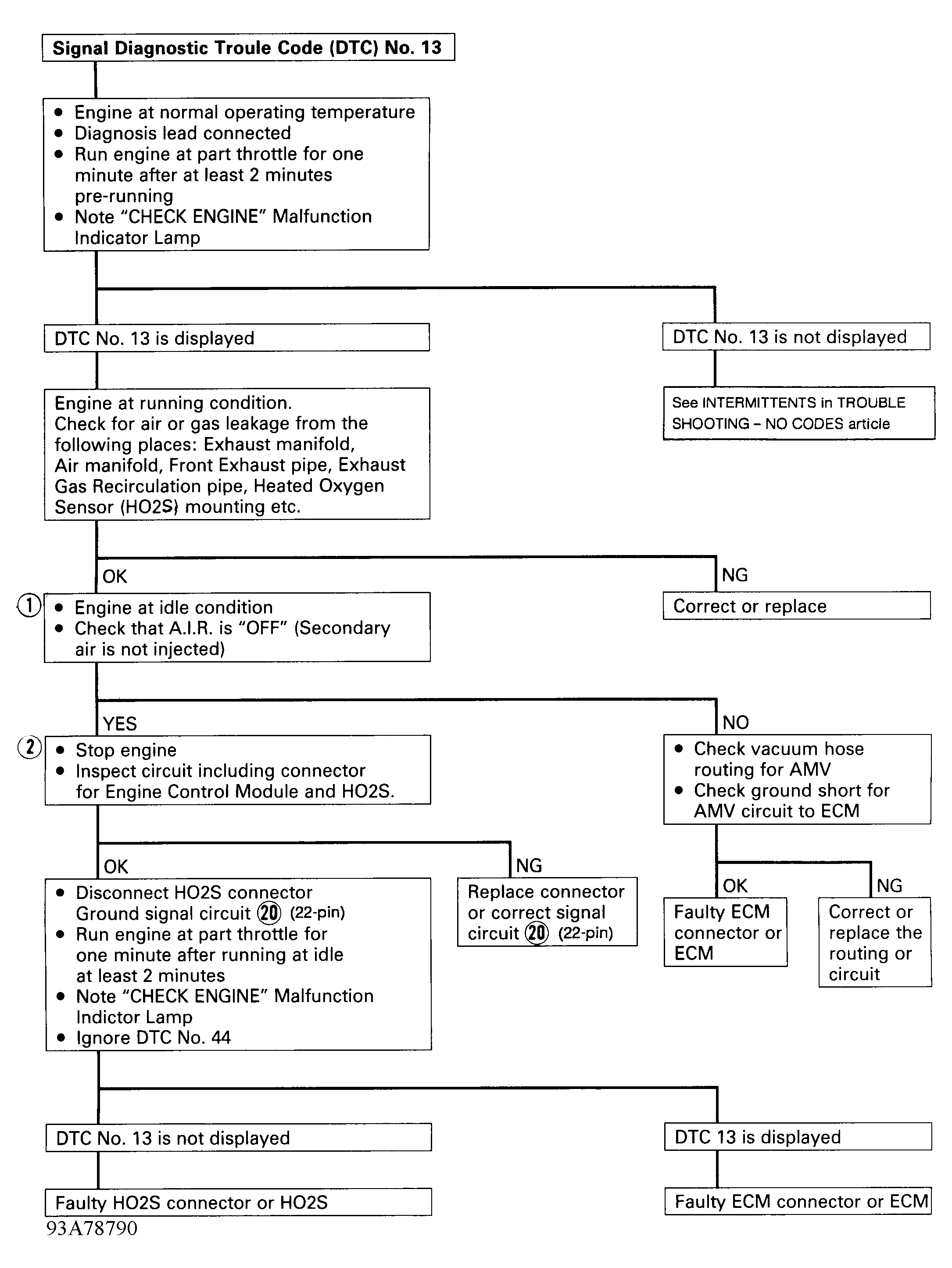
Code 13 - Heated O2 Sensor Circuit

NOTE: See appropriate wiring diagram in WIRING DIAGRAMS article for terminal and connector identification.
NOTE: Test numbers refer to numbers on diagnostic chart.
  1. This step checks AIR system operation:
    • Idle engine at normal operating temperature.
    • Stop engine.
    • Disconnect AIR hose at check valve and plug check valve.
    • Restart engine and idle, immediately check direction of airflow.
  2. This step tests continuity of oxygen sensor circuit (Red wire) between ECM 22-pin connector terminal No. 20 and oxygen sensor.
Fig 1: Code 13 - Diagnostic Flowchart Courtesy Isuzu Motor Co
G93A78790