LEMON Manuals: Even more car manuals for everyone: 1960-2025
Home >> Isuzu >> 1993 >> Rodeo LS, RWD, Automatic >> Repair and Diagnosis >> Engine Performance >> System >> Engine Controls - Tests W/Codes - 2.6L >> Code Charts >> Code 63 - Vehicle Speed Sensor Signal
April 5, 2026: LEMON Manuals is launched! Read the announcement.

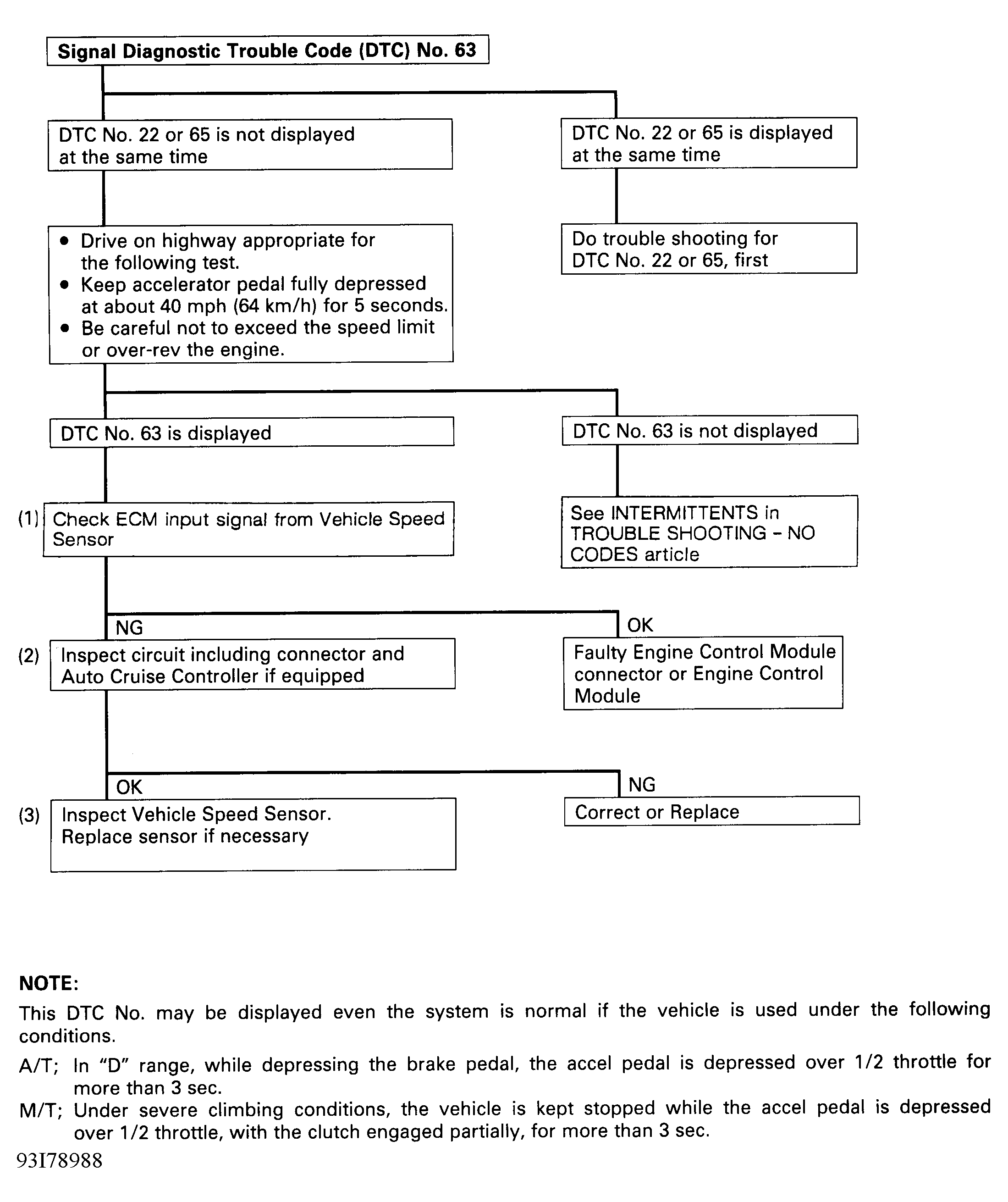
Code 63 - Vehicle Speed Sensor Signal

NOTE: See appropriate wiring diagram in WIRING DIAGRAMS article for terminal and connector identification.

Code 63 can be set, without a system failure, under following conditions:

NOTE: Test numbers refer to numbers on diagnostic chart.
  1. Check for continuity between ECM 22-pin connector terminal No. 5 (White/Green wire) and ground. Disconnect speedometer cable at transmission. Tester should pulsate between open and continuity as speedometer cable is rotated slowly.
    NOTE: Instrument cluster has two 12-pin connectors. Ensure appropriate wire color is tested.
  2. Ensure continuity exists on White/Green wire between ECM 22-pin connector terminal No. 5 and instrument cluster 12-pin connector terminal No. 9. Ensure continuity exists on Black/White wire between instrument cluster 12-pin connector terminal No. 9 and ground.
  3. Remove instrument cluster assembly. Check continuity between terminals No. 1 and 2. Tester should pulsate between open and continuity as speedometer inner shaft is rotated slowly.
Fig 1: Instrument Cluster Connections Courtesy Isuzu Motor Co
G91F17272
Fig 2: Code 63 - Diagnostic Flowchart Courtesy Isuzu Motor Co
G93I78988