LEMON Manuals: Even more car manuals for everyone: 1960-2025
Home >> Isuzu >> 2004 >> Ascender 2WD L6-4.2L >> Repair and Diagnosis >> Specifications >> Mechanical Specifications >> Engine >> System Specifications >> Thread Repair Specifications >> Engine Block - Bottom View
April 5, 2026: LEMON Manuals is launched! Read the announcement.

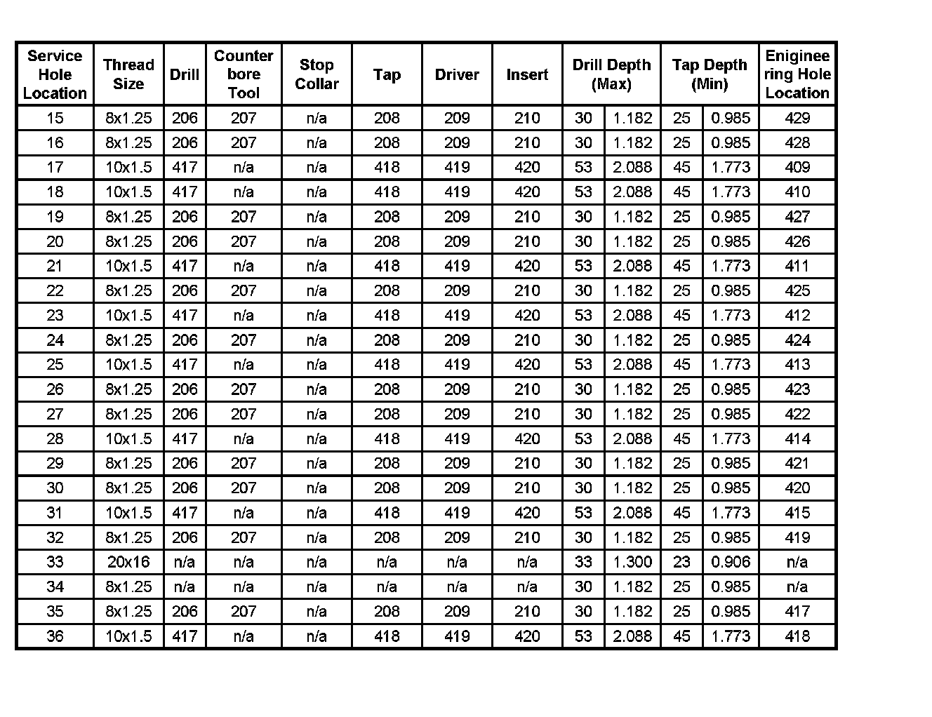
Engine Block - Bottom View

Engine Block - Bottom View