LEMON Manuals: Even more car manuals for everyone: 1960-2025
Home >> Isuzu >> 2008 >> Ascender 2WD L6-4.2L >> Repair and Diagnosis >> Specifications >> Electrical Specifications >> Computers and Control Systems
April 5, 2026: LEMON Manuals is launched! Read the announcement.

Computers and Control Systems



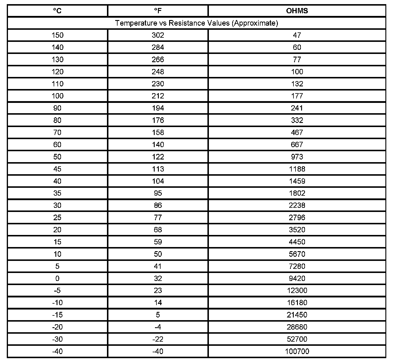
Temperature Versus Resistance