LEMON Manuals: Even more car manuals for everyone: 1960-2025
Home >> Isuzu >> 2008 >> i-370 2WD L5-3.7L >> Repair and Diagnosis >> Specifications >> Electrical Specifications >> Computers and Control Systems >> Coolant Temperature Sensor/Switch (For Computer)
April 5, 2026: LEMON Manuals is launched! Read the announcement.

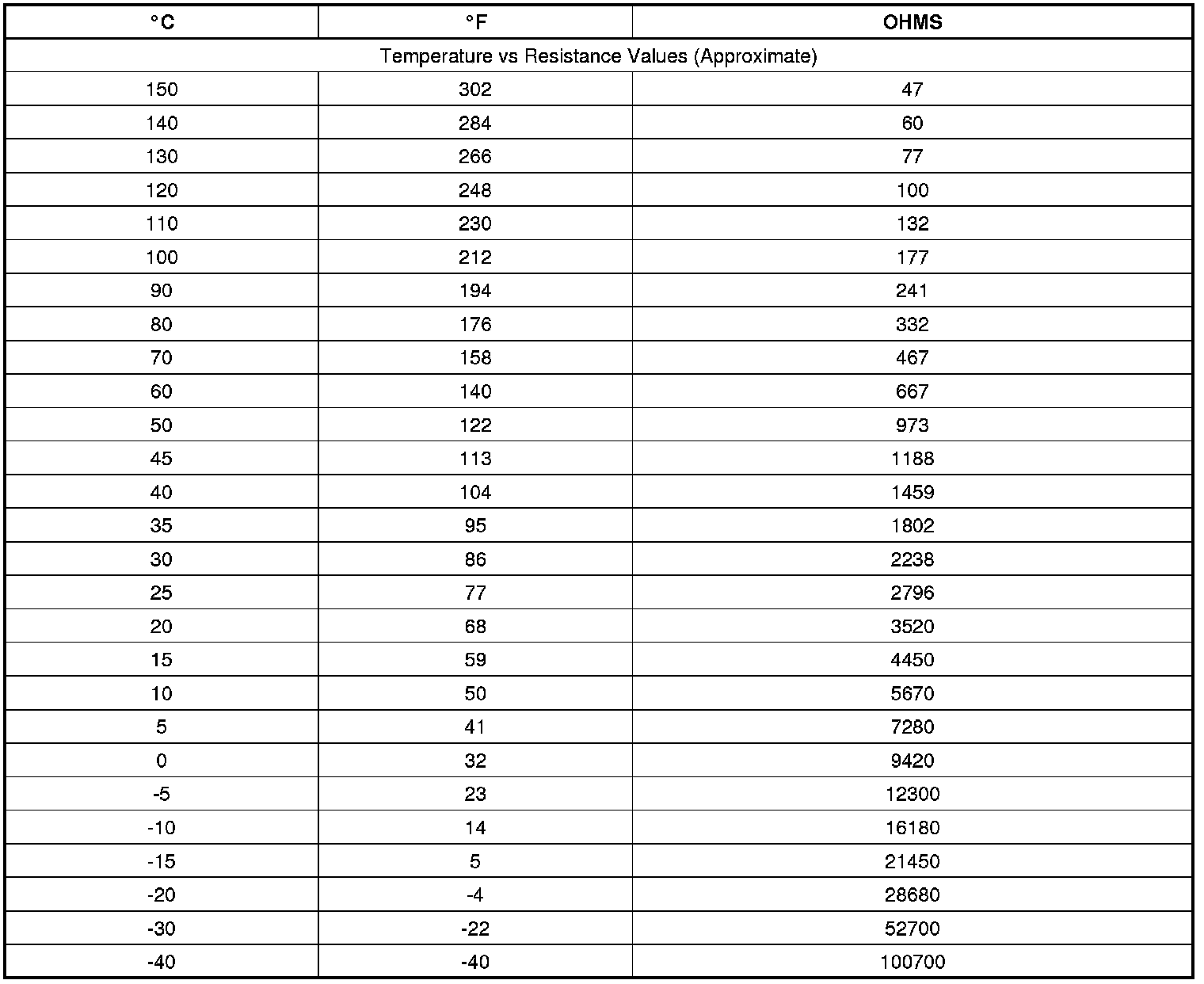
Coolant Temperature Sensor/Switch (For Computer)



Temperature Versus Resistance