LEMON Manuals: Even more car manuals for everyone: 1960-2025
Home >> Jeep >> 2021 >> Gladiator Mojave, Full Time T/Case Control, Standard Trans >> Repair and Diagnosis >> External Pages >> Different car >> Section 28 (Circuit Testing Procedures - Non-DTC-Based Diagnostics) >> Standard Procedure >> Check A Circuit For A Short To Ground >> Theory Of Operation
April 5, 2026: LEMON Manuals is launched! Read the announcement.

Theory Of Operation

WARNING: This page is about a different car, the 2022 Chrysler Voyager and 2022 Chrysler Pacifica. However, it is still accessible from the selected car via links, so may be relevant.
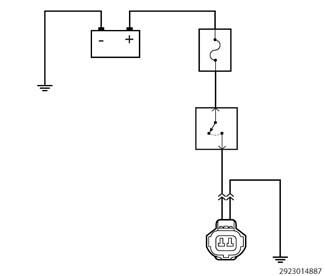
GC0158044Courtesy of CHRYSLER GROUP, LLC

The purpose of the following procedure is to demonstrate how to check a circuit for a Short to Ground.

NOTE:

The circuit shown in illustration is an example, and is intended for demonstrational purpose only.

The following are circuit tests covered in this procedure:

NOTE:

Perform the following test using a known good multimeter.

Below is a list of possible causes that could be related to a Short to Ground condition.

Possible Causes
SHORTED CIRCUIT (CHAFED, PIERCED OR PINCHED WIRES)
SHORTED IN-LINE CONNECTOR (BENT, PUSHED OUT OR CORRODED TERMINALS)