LEMON Manuals: Even more car manuals for everyone: 1960-2025
Home >> Kia >> 2005 >> Sedona EX >> Repair and Diagnosis >> Engine Performance >> System >> Engine Control System >> Troubleshooting >> MFI Troubleshooting Procedures
April 5, 2026: LEMON Manuals is launched! Read the announcement.

MFI Troubleshooting Procedures

PROBLEM 

Communication with Hi-scan is not available. 

(Communication with all systems is not available) 

Fig 1: MFI Troubleshooting Procedures (1 Of 7)
G02196547Courtesy of KIA MOTORS AMERICA, INC.
Fig 2: MFI Troubleshooting Procedures (2 Of 7)
G02196548Courtesy of KIA MOTORS AMERICA, INC.
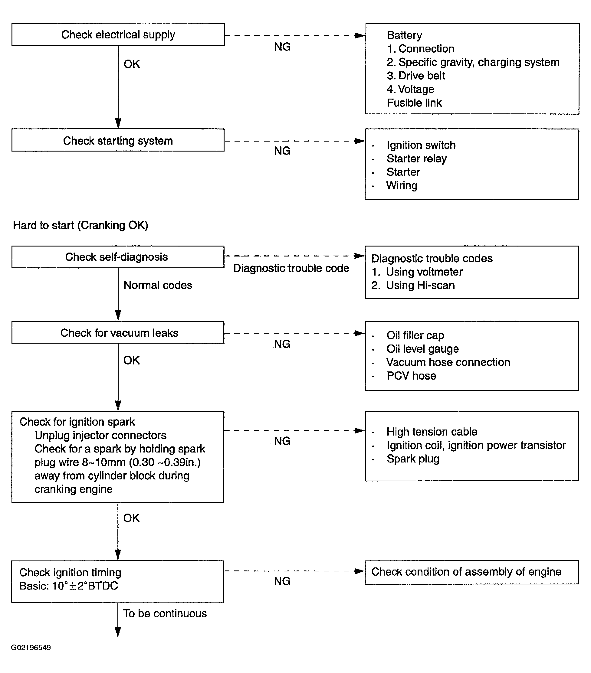
Fig 3: MFI Troubleshooting Procedures (3 Of 7)
G02196549Courtesy of KIA MOTORS AMERICA, INC.
Fig 4: MFI Troubleshooting Procedures (4 Of 7)
G02196550Courtesy of KIA MOTORS AMERICA, INC.
Fig 5: MFI Troubleshooting Procedures (5 Of 7)
G02196551Courtesy of KIA MOTORS AMERICA, INC.
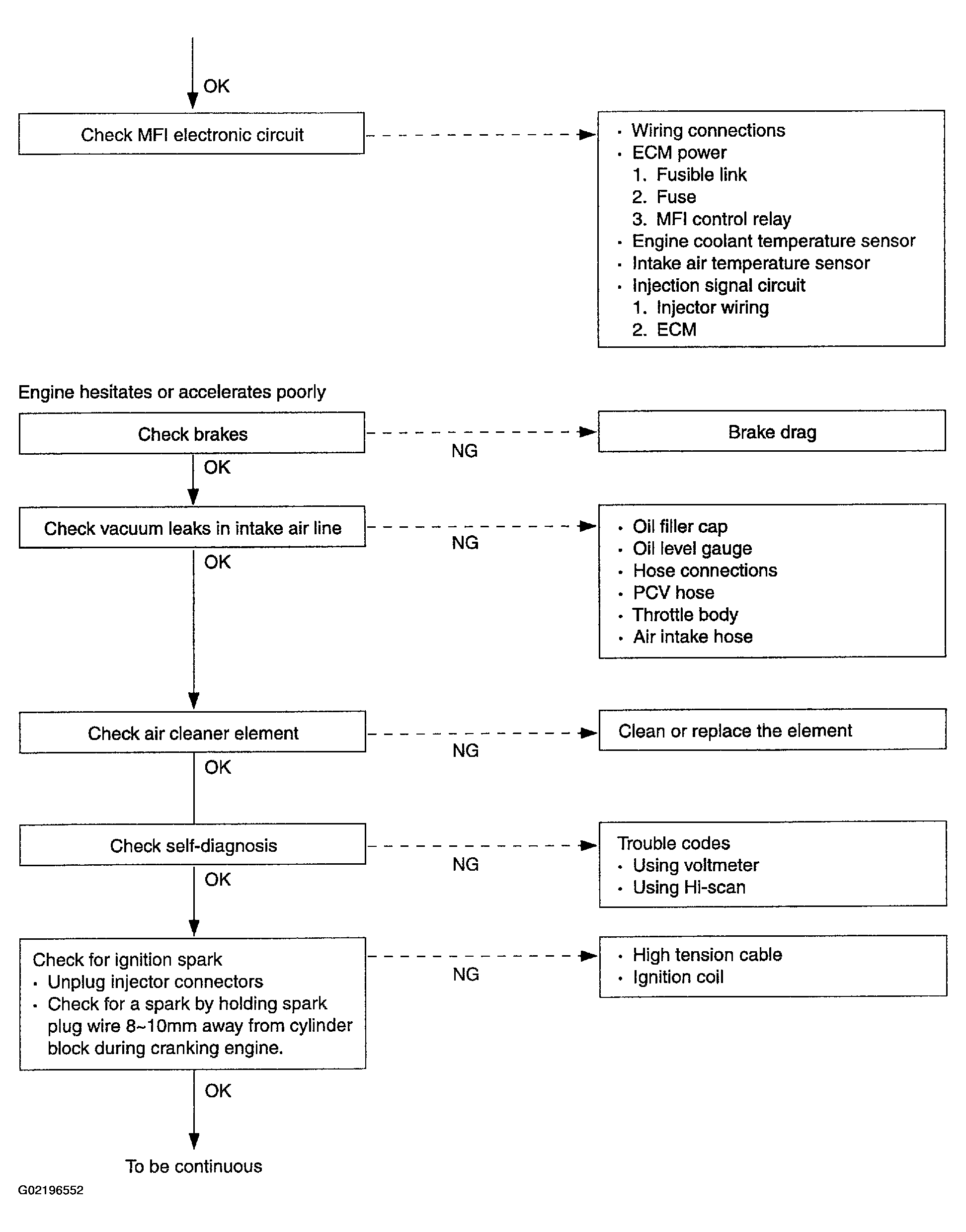
Fig 6: MFI Troubleshooting Procedures (6 Of 7)
G02196552Courtesy of KIA MOTORS AMERICA, INC.
Fig 7: MFI Troubleshooting Procedures (7 Of 7)
G02196553Courtesy of KIA MOTORS AMERICA, INC.