LEMON Manuals: Even more car manuals for everyone: 1960-2025
Home >> Kia >> 2009 >> Rio Base, Automatic >> Repair and Diagnosis >> Transmission >> Automatic Trans >> Automatic Transaxle System >> Troubleshooting >> Notes
April 5, 2026: LEMON Manuals is launched! Read the announcement.

Automatic Transaxle System: Troubleshooting: Notes

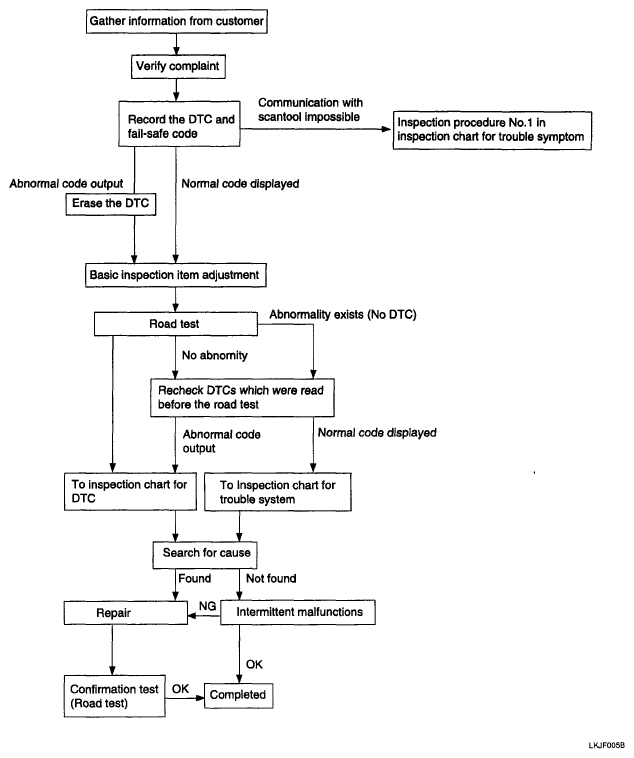
Fig 1: Troubleshooting Flow Chart
G04862528Courtesy of KIA MOTORS AMERICA, INC.