LEMON Manuals: Even more car manuals for everyone: 1960-2025
Home >> Kia >> 2017 >> Niro EX >> Repair and Diagnosis (Single Page) >> Steering >> Electronic Steering >> Motor Driven Power Steering System >> Repair Procedures >> A/S Repair Procedures >> MDPS System A/S Work-Flow >> Notes
April 5, 2026: LEMON Manuals is launched! Read the announcement.

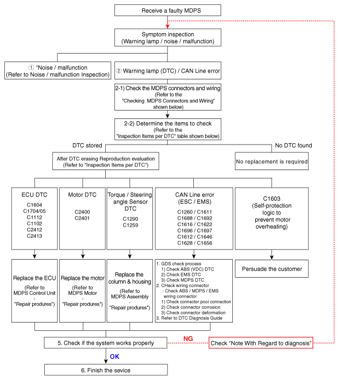
MDPS System A/S Work-Flow: Notes

Fig 1: MDPS System A/S Work-Flow Chart
G12329551Courtesy of KIA MOTORS AMERICA, INC.