LEMON Manuals: Even more car manuals for everyone: 1960-2025
Home >> Kia >> 2018 >> Cadenza Technology >> Repair and Diagnosis >> Steering >> Steering Column >> Motor Driven Power Steering System >> Repair Procedures >> A/S Repair Procedures >> MDPS System A/S Workflow
April 5, 2026: LEMON Manuals is launched! Read the announcement.

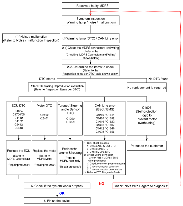
MDPS System A/S Workflow

Fig 1: MDPS System A/S Workflow Chart
G12294188Courtesy of KIA MOTORS AMERICA, INC.

(1) Checking Connectors and Wiring 

  1. Checking Connectors and Wiring.

    Check for damage, push-back, or improper connection in each connector and wiring.

    1. Check the wiring on the vehicle side.
      • Check for open/short - circuit due to faulty connection, damage, or foreign substance.
      Fig 2: Battery Connector & Vehicle Signal Connector End View
      G12294189Courtesy of KIA MOTORS AMERICA, INC.
    2. Check the wiring on the ECU side (motor 3 - phase power).
      • Check for open/short - circuit due to faulty connection, damage, or foreign substance.
      Fig 3: Check Wiring On ECU Side (Motor 3 - Phase Power)
      G12294190Courtesy of KIA MOTORS AMERICA, INC.
    3. Check the motor connector.
      • Terminal Expansion and damage.
      Fig 4: Check Motor Connector
      G12294191Courtesy of KIA MOTORS AMERICA, INC.
      NOTE:
      • Must be replaced the MDPS motor if occur terminal expansion and damage.
    4. Check the motor wiring.
      Fig 5: Check Motor Wiring
      G12294192Courtesy of KIA MOTORS AMERICA, INC.
      NOTE:
      • Must be replaced the MDPS motor if occur damage or problem.

(2) Inspection Items per DTC 

Item DTC Description Inspection Service action
CAN Line C1611 CAN TIME OUT EMS
  1. Check the GDS
  2. Check connector tightening.
  3. Inspection the ECU CAN connector
  4. Check MDPS vehicle grounding status
EMS CAN line inspection
C1616 CAN BUS OFF Check the chassis can line
C1622 Vehicle speed signal error EMS (Engine ECU) inspection
Torque sensor C1290 Torque sensor signal error Inspection after DTC clear.
Check connector tightening.
Replace column & housing if phenomenon persists
C1112 Torque sensor supply voltage error Check torque sensor and ECU connection connector. Replace ECU if phenomenon persists
ECU C1604 ECU hardware error Inspection the ECU connector after Clear DTC Replace ECU if phenomenon persists
ECU C1705 EPS Module pre-charge circuit malfunction Inspection the ECU connector after Clear DTC. Replace ECU if phenomenon persists
Motor C2400 Motor signal error Inspection the Motor connector after Clear DTC. Replace Motor if phenomenon persists
Motor C2401 Motor position sensor error Inspection the Motor connector after Clear DTC. Replace Motor if phenomenon persists
ECU/Motor C2412 Motor current error Inspection the Motor/ECU connector after Clear DTC. First ECU replacement Replace Motor if phenomenon persists
Steering angle sensor C1259 Steering Angle sensor error Steering angle reset after DTC clear
Check connector tightening.
Replace column & housing if phenomenon persists
Battery C1102 Battery voltage low Check battery voltage status Battery voltage charging
Cooperative control C1696 SPAS signal error SPAS Inspection Clear DTC.
C1697
Cooperative control C1612 TCU signal error TCU Inspection Clear DTC.
C1646
Cooperative control C1628 Cluster signal error Cluster Inspection Clear DTC.
C1656
Cooperative control C1692 VSM signal error VSM Inspection Clear DTC.
C1693
ABS C1260 Steering angle signal error Checking after steering angle reset
If the C1259 code does not occur, check the CAN line.
Steering angle reset Clear DTC.