LEMON Manuals: Even more car manuals for everyone: 1960-2025
Home >> Kia >> 2019 >> Optima EX >> Repair and Diagnosis (Single Page) >> Steering >> Steering Column >> Motor Driven Power Steering System (Except HEV) >> Repair Procedures >> A/S Repair Procedures >> MDPS System A/S Workflow
April 5, 2026: LEMON Manuals is launched! Read the announcement.

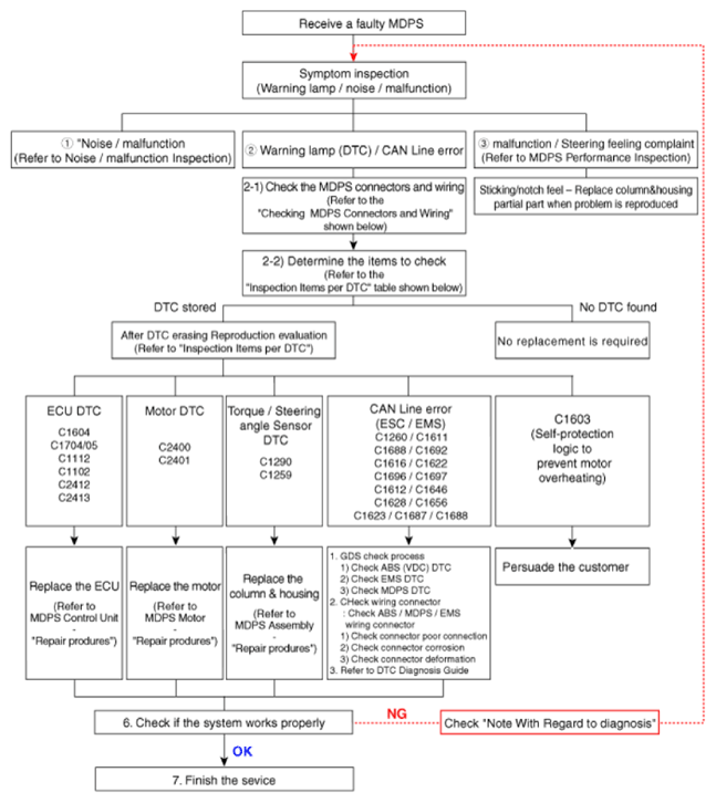
MDPS System A/S Workflow

G12916773Courtesy of KIA MOTORS AMERICA, INC.