LEMON Manuals: Even more car manuals for everyone: 1960-2025
Home >> Lexus >> 2004 >> LX 470 >> Repair and Diagnosis >> Transmission >> Transfer Case >> Transfer (Service Specifications) >> Transfer >> Torque Specification
April 5, 2026: LEMON Manuals is launched! Read the announcement.

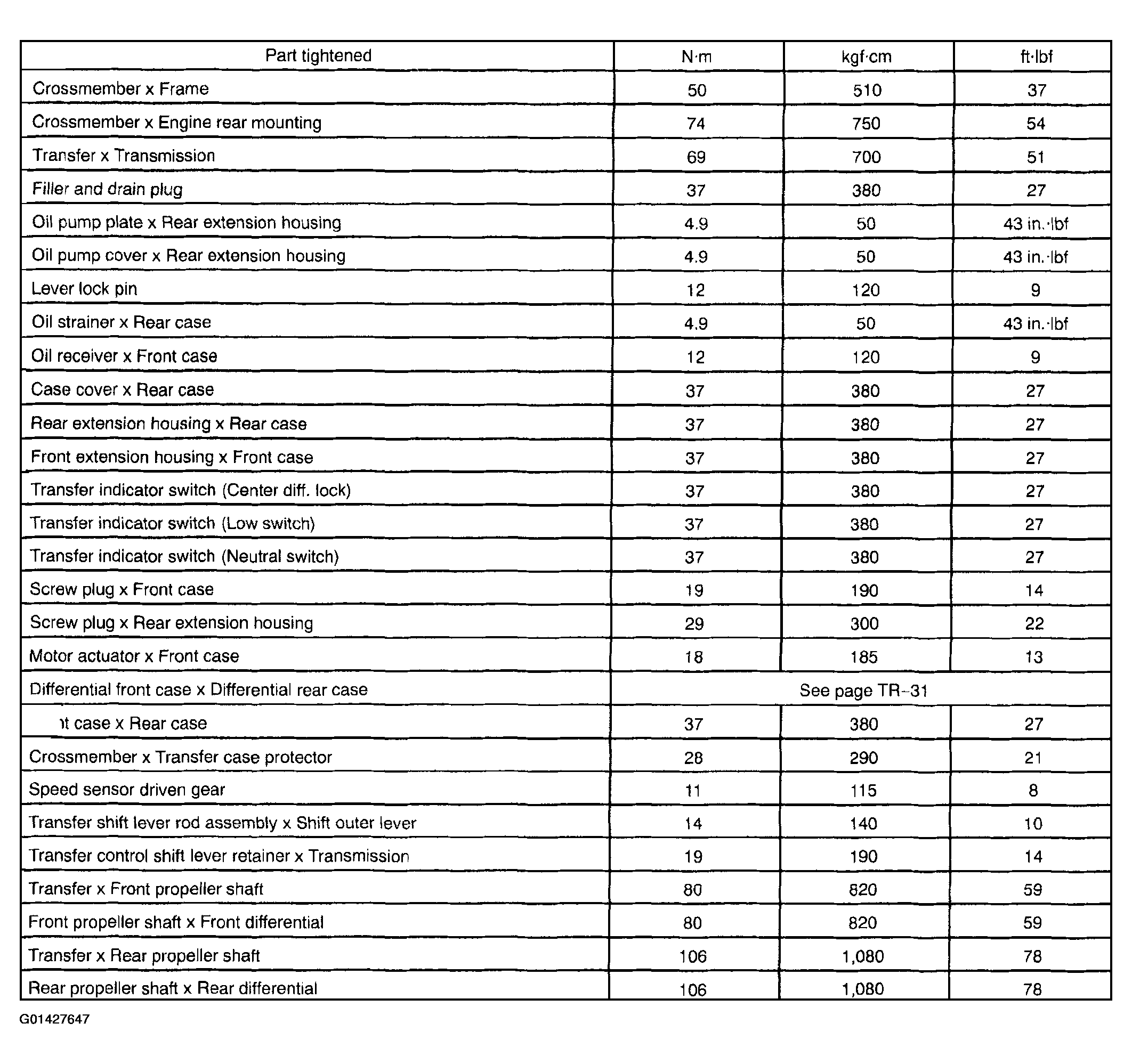
Torque Specification

Fig 1: Transfer Torque Specification
G01427647Courtesy of © TOYOTA, LICENSE AGREEMENT TMS1002