LEMON Manuals: Even more car manuals for everyone: 1960-2025
Home >> Lexus >> 2005 >> GS 430 >> Repair and Diagnosis >> General Information >> OEM General Information >> Service Specifications >> Automatic Transmission >> Service Data
April 5, 2026: LEMON Manuals is launched! Read the announcement.

Service Data

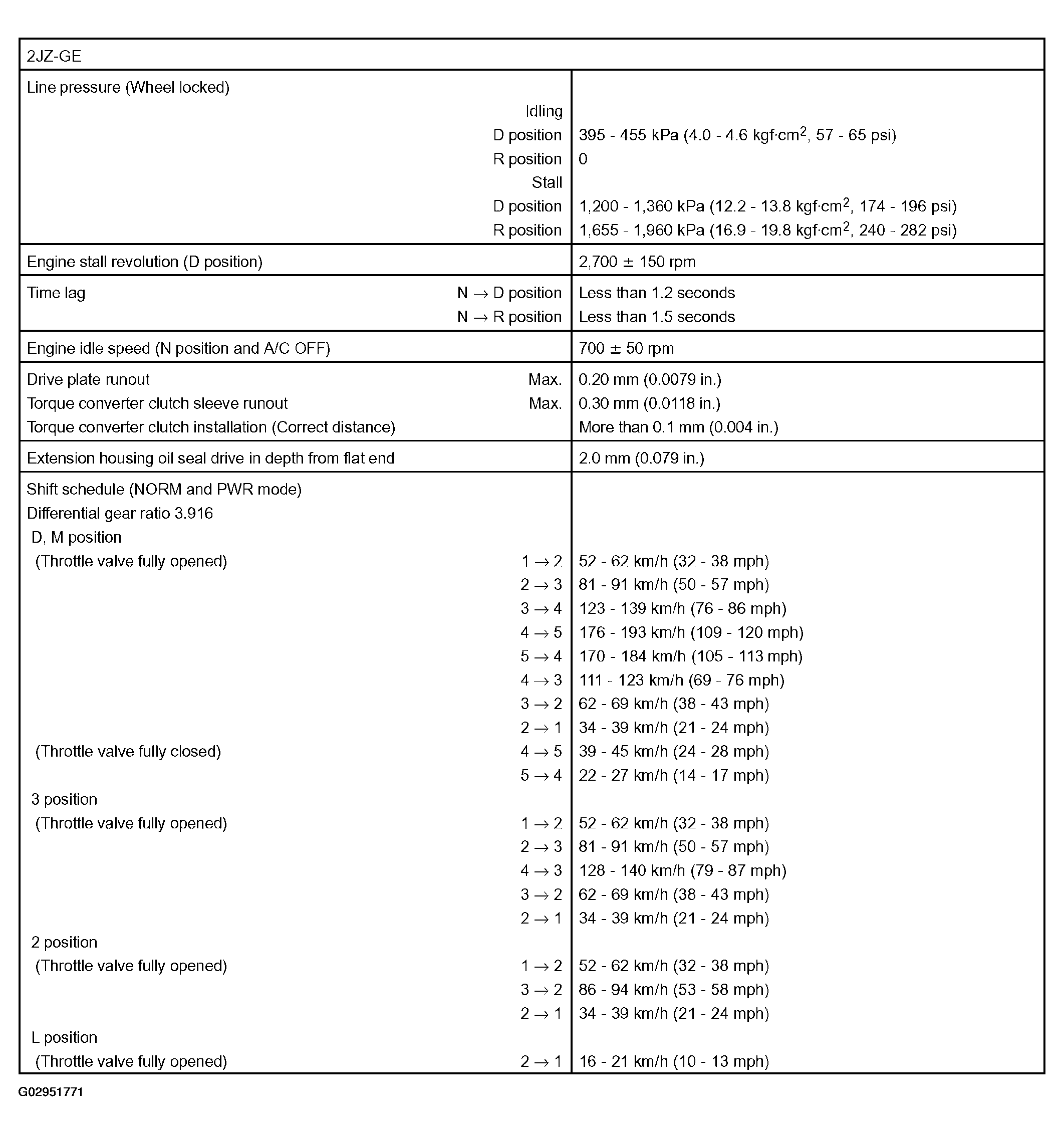
Fig 1: Automatic Transmission Service Specification Chart (1 Of 3)
G02951771Courtesy of © TOYOTA, LICENSE AGREEMENT TMS1002
Fig 2: Automatic Transmission Service Specification Chart (2 Of 3)
G02951772Courtesy of © TOYOTA, LICENSE AGREEMENT TMS1002
Fig 3: Automatic Transmission Service Specification Chart (3 Of 3)
G02951773Courtesy of © TOYOTA, LICENSE AGREEMENT TMS1002