LEMON Manuals: Even more car manuals for everyone: 1960-2025
Home >> Lexus >> 2005 >> IS 300 Base, Automatic >> Repair and Diagnosis >> Body & Frame >> Windows >> Power Window Control System >> Troubleshooting
April 5, 2026: LEMON Manuals is launched! Read the announcement.

Power Window Control System: Troubleshooting

POWER WINDOW CONTROL SYSTEM MALFUNCTION SYMPTOMS

Malfunction symptoms Applicable chart
Driver's door does not operate. 1
Passenger's and all rear doors do not operate by using the switches at each seat. 2
Any of passenger's and rear doors does not operate by using the switches of each seat. 3
Passenger's and all rear doors are not controlled remotely by using the master switch. (Switches of each door can be operated.) 4
AUTO UP and AUTO DOWN does not operate. (Prepare a normal master switch.) 5
DOWN operation operates during door glass AUTO UP operation. 6
Even though a foreign object is caught, DOWN operation does not function. 7
After ignition switch has been turned to OFF by using a key, power window function does not operate. 8
  1. Driver's door does not operate. 
    Fig 1: Troubleshooting Flow Chart - Driver's Door Does Not Operate
    G02946850Courtesy of © TOYOTA, LICENSE AGREEMENT TMS1002
  2. Passenger's and all rear doors do not operate by using the switches of each seat. 
    Fig 2: Troubleshooting Flow Chart - Passenger's & All Rear Doors Do Not Operate
    G02946851Courtesy of © TOYOTA, LICENSE AGREEMENT TMS1002
  3. Any of passenger's and all rear doors does not operate by using the switches at each seat. 
    Fig 3: Troubleshooting Flow Chart - Any Of Passenger's & All Rear Doors Do Not Operate
    G02946852Courtesy of © TOYOTA, LICENSE AGREEMENT TMS1002
  4. Passenger's and all rear doors are not controlled remotely by using the master switch. (Switches at each door can be operated.) 
    Fig 4: Troubleshooting Flow Chart - Passenger's & All Rear Doors Are Not Controlled Remotely
    G02946853Courtesy of © TOYOTA, LICENSE AGREEMENT TMS1002
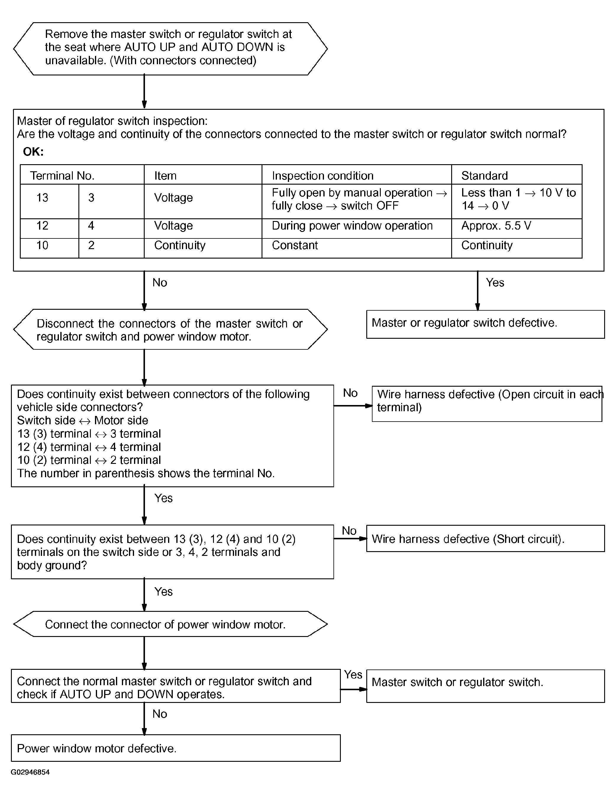
  5. AUTO UP and AUTO DOWN do not operate. (Prepare a normal master switch.) 
    Fig 5: Troubleshooting Flow Chart - Auto Up & Auto Down Do Not Operate
    G02946854Courtesy of © TOYOTA, LICENSE AGREEMENT TMS1002
  6. DOWN operates during door glass AUTO UP operation. 
    Fig 6: Troubleshooting Flow Chart - Down Operates During Door Glass Auto Up Operation
    G02946855Courtesy of © TOYOTA, LICENSE AGREEMENT TMS1002
  7. Even through a foreign object is caught, DOWN operation does not function. 
    Fig 7: Troubleshooting Flow Chart - Down Operation Does Not Function
    G02946856Courtesy of © TOYOTA, LICENSE AGREEMENT TMS1002
  8. After ignition switch has been turned OFF by using a key, power window function does not operate. 
    Fig 8: Troubleshooting Flow Chart - After ignition switch has been turned OFF
    G02946857Courtesy of © TOYOTA, LICENSE AGREEMENT TMS1002