LEMON Manuals: Even more car manuals for everyone: 1960-2025
Home >> Lincoln >> 2009 >> Navigator 2WD V8-5.4L >> Repair and Diagnosis >> Powertrain Management >> Computers and Control Systems >> Testing and Inspection >> Scan Tool Testing and Procedures >> Typical Diagnostic Reference Values
April 5, 2026: LEMON Manuals is launched! Read the announcement.

Typical Diagnostic Reference Values

Typical Diagnostic Reference Values Notes (Part 1):





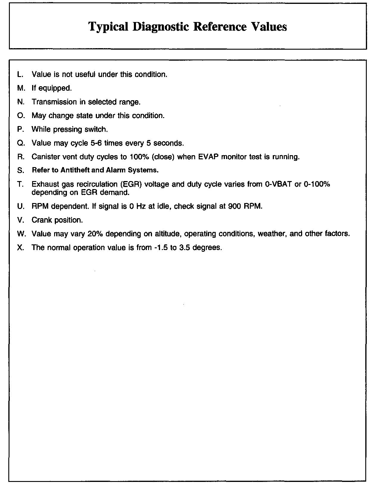
Typical Diagnostic Reference Values Notes (Part 2):





5.4L 3V Expedition/Navigator (Part 1):





5.4L 3V Expedition/Navigator (Part 2):





5.4L 3V Expedition/Navigator (Part 3):