LEMON Manuals: Even more car manuals for everyone: 1960-2025
Home >> Mazda >> 2000 >> Protege DX L4-1.6L DOHC >> Repair and Diagnosis >> Body and Frame >> Locks >> Keyless Entry >> Keyless Entry Module >> Testing and Inspection >> Programming and Relearning
April 5, 2026: LEMON Manuals is launched! Read the announcement.

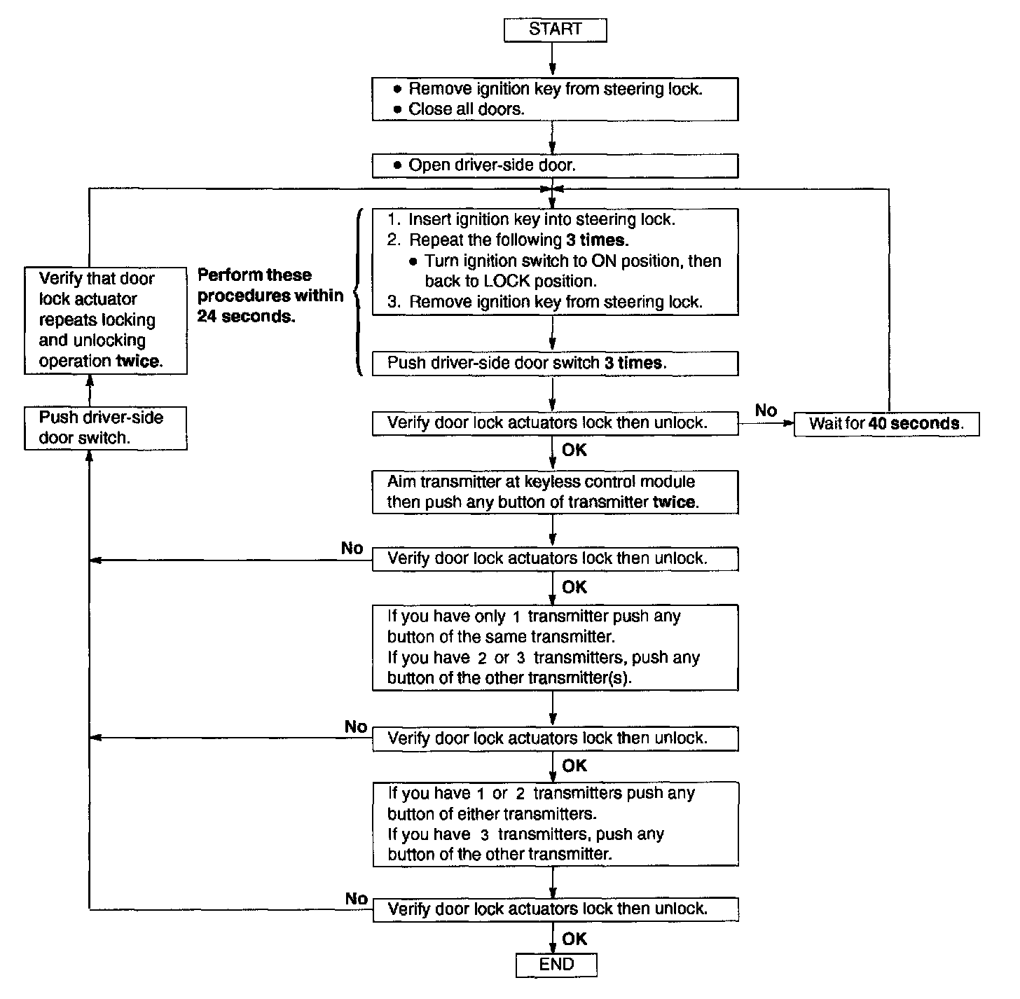
Programming and Relearning

- When programming the ID code into a transmitter, verify that other transmitters are not being operated in the vicinity.




- Program the ID code as indicated in the procedure.