LEMON Manuals: Even more car manuals for everyone: 1960-2025
Home >> Mazda >> 2001 >> Tribute DX 2WD L4-2.0L >> Repair and Diagnosis >> Powertrain Management >> Computers and Control Systems >> Testing and Inspection >> Scan Tool Testing and Procedures >> Normal Scan Data Values >> PID Values
April 5, 2026: LEMON Manuals is launched! Read the announcement.

PID Values

PID/DATA Monitor Reference Value (M/T) (Part 1):



PID/DATA Monitor Reference Value (M/T) (Part 2):



Typical Diagnostic Reference Values (Part 1):



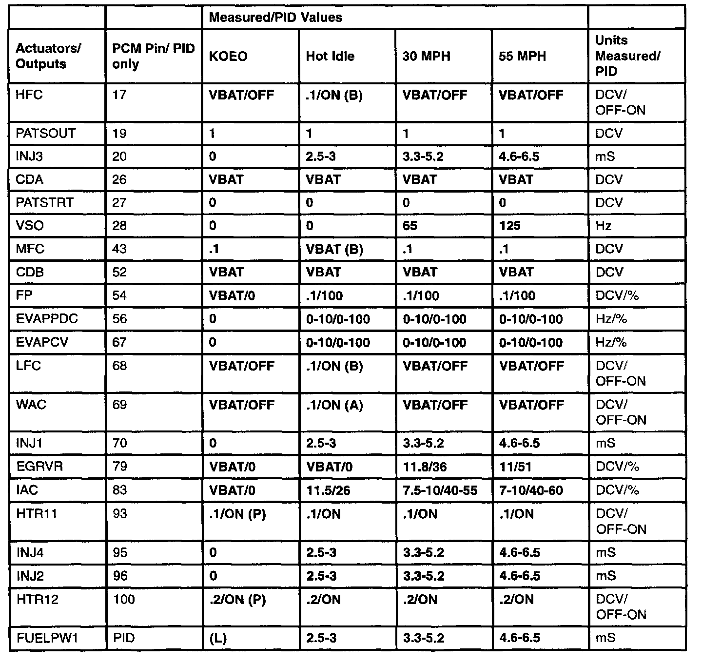
Typical Diagnostic Reference Values (Part 2):



Generic OBD II PID Values: