LEMON Manuals: Even more car manuals for everyone: 1960-2025
Home >> Mazda >> 2002 >> MPV ES >> Repair and Diagnosis (Single Page) >> Body & Frame >> Door Locks >> Power Door Locks & Keyless Entry >> Component Tests >> Keyless Control Module Inspection >> Keyless Control Module ID Code Change
April 5, 2026: LEMON Manuals is launched! Read the announcement.

Keyless Control Module ID Code Change

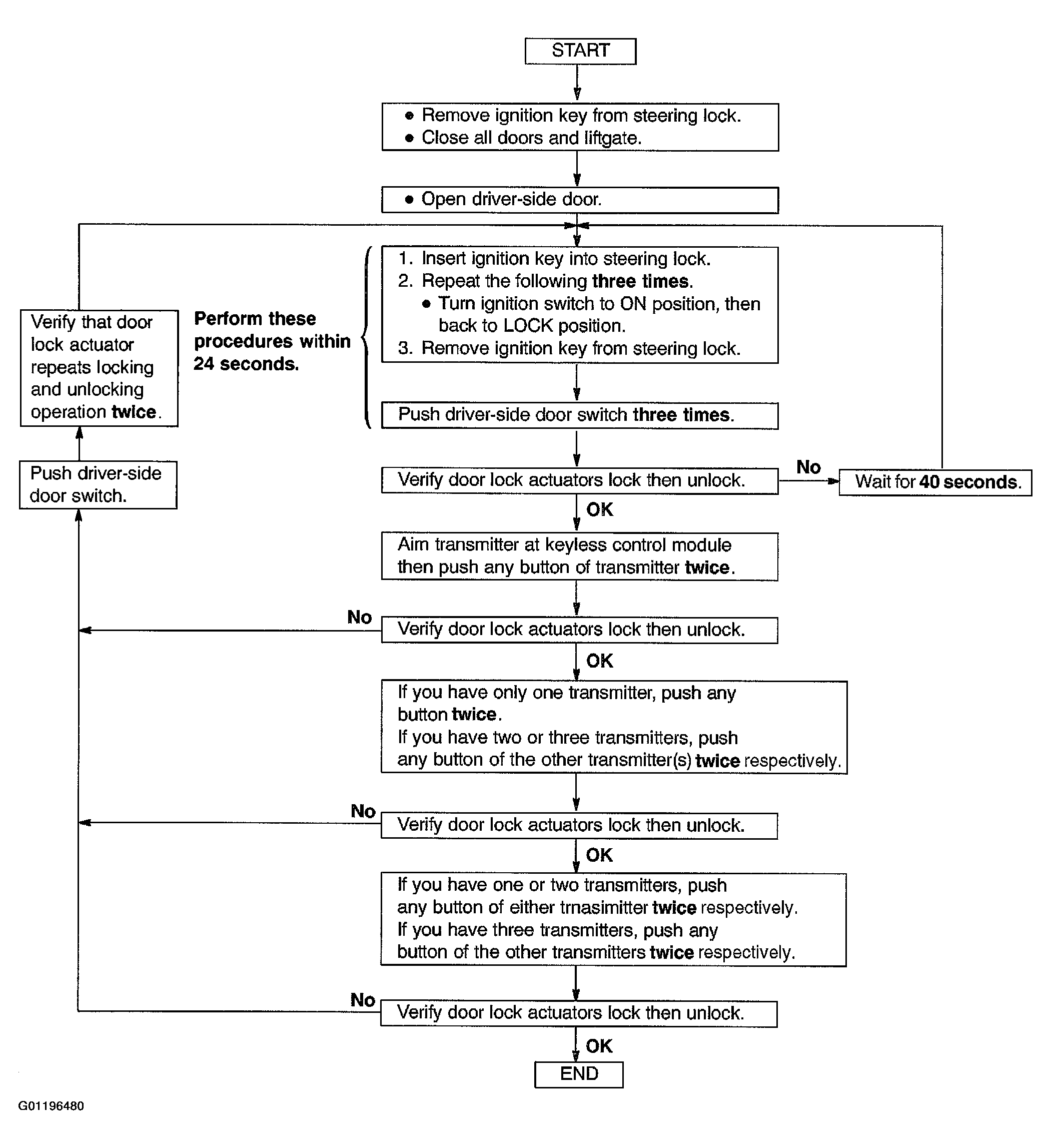
Fig 1: Programming Keyless Control Module ID Code
G01196480Courtesy of MAZDA MOTORS CORP.