LEMON Manuals: Even more car manuals for everyone: 1960-2025
Home >> Mazda >> 2004 >> 3 i, Automatic >> Repair and Diagnosis (Single Page) >> Engine Performance >> System >> On-Board Diagnostic [Engine Control System] >> DTC P2127: App Sensor No. 2 Circuit Low Input >> Diagnostic procedure
April 5, 2026: LEMON Manuals is launched! Read the announcement.

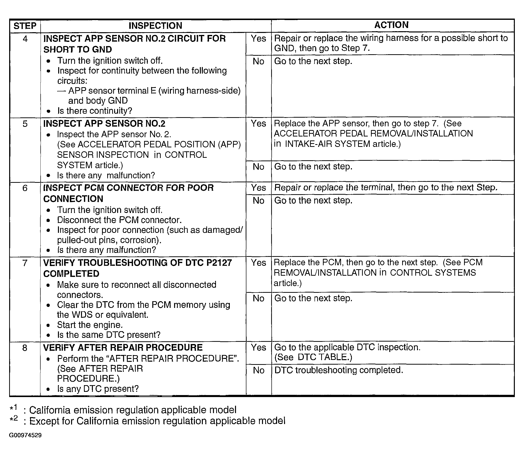
Diagnostic procedure

Fig 1: DTC P2127: Diagnostic Procedure Chart (Steps 1-3)
G00974528Courtesy of MAZDA MOTORS CORP.
Fig 2: DTC P2127: Diagnostic Procedure Chart (Steps 4-8)
G00974529Courtesy of MAZDA MOTORS CORP.