LEMON Manuals: Even more car manuals for everyone: 1960-2025
Home >> Mazda >> 2004 >> Tribute ES, FWD >> Repair and Diagnosis >> Engine Performance >> System >> Engine Control System >> PID/Data Monitor Reference Value (3.0L A/T) >> Typical Diagnostic Reference Values
April 5, 2026: LEMON Manuals is launched! Read the announcement.

Typical Diagnostic Reference Values

Fig 1: Identifying Typical Diagnostic Reference Values (3.0L A/T) (1 Of 2)
G00984924Courtesy of MAZDA MOTORS CORP.
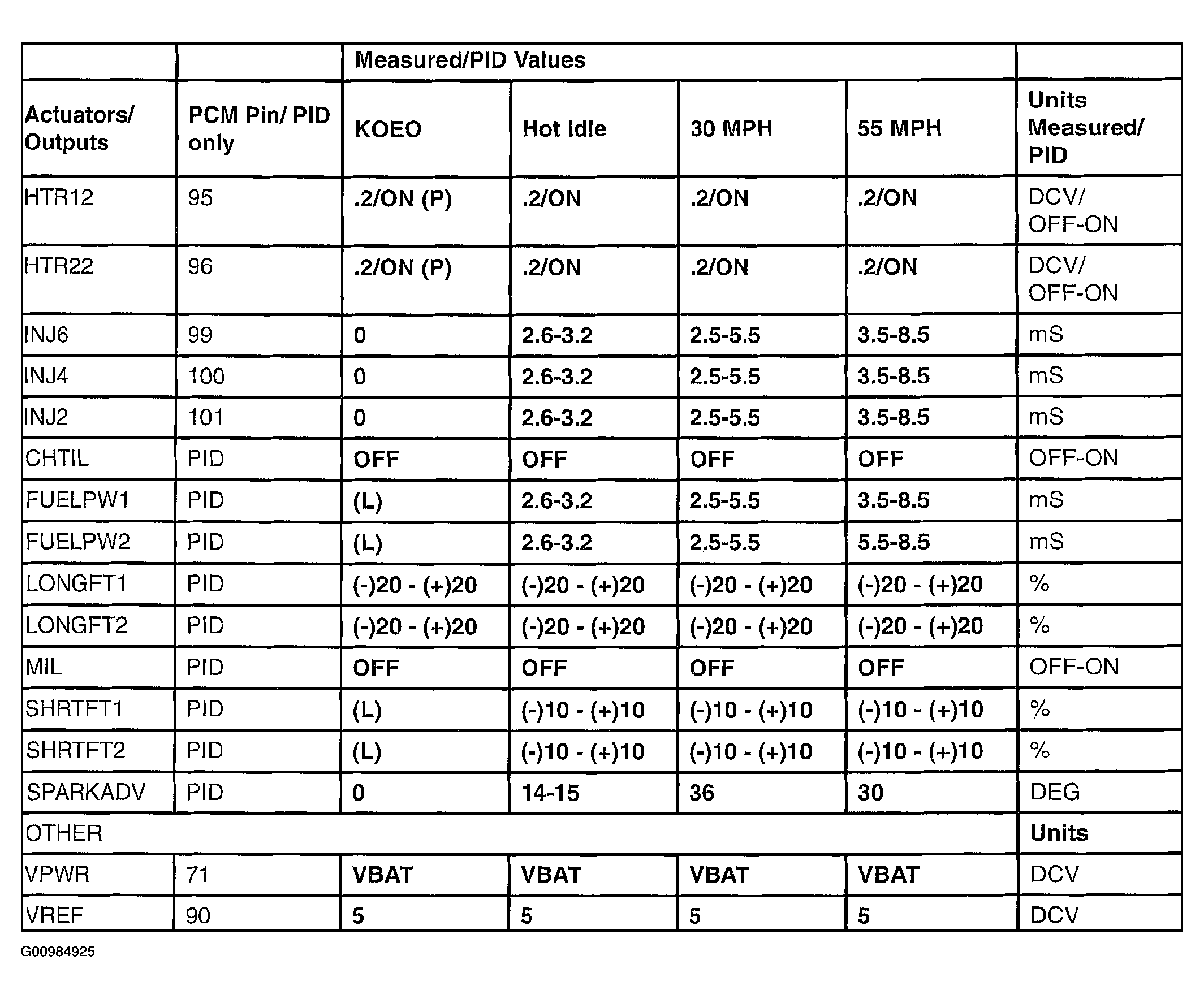
Fig 2: Identifying Typical Diagnostic Reference Values (3.0L A/T) (2 Of 2)
G00984925Courtesy of MAZDA MOTORS CORP.