LEMON Manuals: Even more car manuals for everyone: 1960-2025
Home >> Mazda >> 2006 >> MPV ES >> Repair and Diagnosis >> Body & Frame >> Door Locks >> Security System And Locks System >> Transmitter Id Code Registration
April 5, 2026: LEMON Manuals is launched! Read the announcement.

Transmitter Id Code Registration

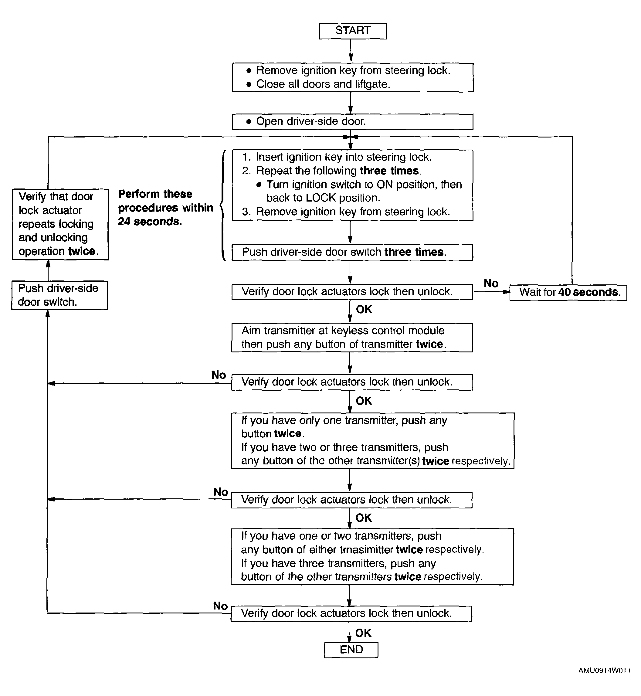
Fig 1: Transmitter ID Code Registration Flow Chart
G04329541Courtesy of MAZDA MOTORS CORP.