LEMON Manuals: Even more car manuals for everyone: 1960-2025
Home >> Mazda >> 2007 >> 6 V6-3.0L >> Repair and Diagnosis >> Powertrain Management >> Computers and Control Systems >> Engine Control Module >> Technical Service Bulletins >> Customer Interest >> AT, Engine Controls - ECM/TCM Update
April 5, 2026: LEMON Manuals is launched! Read the announcement.

AT, Engine Controls - ECM/TCM Update

TSB: 01-046/06

MULTI-MODEL - SPECIAL PCM AND TCM UPDATING PROGRAM OF DEALER INVENTORY FOR MIL AND DRIVABILITY CONCERNS

BULLETIN NOTE
This bulletin supersedes the previous bulletin issued on 11/09/06. The APPLICABLE MODEL(S) have been revised.

APPLICABLE MODEL(S)/VINS

For PCM Reprogramming:

2007 Mazda3 (CA spec) with VINs lower than JM1BK****71635356 (produced before September 6, 2006)

2007 Mazda3 (Fed spec) with VINs lower than JM1BK****71618119 (produced before August 1, 2006)

2007 Mazda5 (CA and Fed spec) with VINs lower than JM1CR****70138333 (produced before September 22, 2006)

2007 MX-5 (CA and Fed spec) with VINs lower than JM1NC****70126015 (produced before August 7, 2006)

2007 Mazda6 (Fed spec 2.3L M/T) with VINs lower than 1YV******75M16045 (produced before October 9, 2006)

2007 Mazda6 (Fed spec 2.3L A/T) with VINs lower than 1YV******75M13818 (produced before September 28, 2006)

2007 Mazda6 (CA spec 2.3L A/T and M/T, CA and Fed spec 3.0L A/T) with VINs lower than 1YV******75M17839 (produced before October 19, 2006)

2007 Mazda6 (CA and Fed spec 3.0L M/T) with VINs lower than 1YV******75M18772 (produced before October 24, 2006)

2007 CX-7 (CA and Fed spec) with VINs lower than JM3ER29**70139214 (produced before September 14, 2006)

For TCM Reprogramming:

2007 Mazda6 (3.0L A/T) with VINs lower than 1YV******75M17914 (produced before October 24, 2006)

2007 CX-7 with VINs lower than JM3ER29**70146831 (produced before October 16, 2006)

DESCRIPTION





To improve the customer's driving experience and satisfaction, updated calibrations for the PCM and/or TCM have been introduced to improve engine drivability, eliminate false positive DTC's, and improve automatic transmission shift quality. The chart describes the concern(s) that may affect these vehicles.

For vehicles currently in dealer inventory that are within the production date/VIN range, please carry out the PCM and/or TCM reprogramming before delivering the vehicles to the customers by using IDS/PDS 45.11/46.2 or later software.

NOTE:
Ensure IDS/PDS has software version 45.11/46.2 or later before proceeding with this service bulletin.

REPAIR PROCEDURE

1. Reboot the PDS/IDS to clear memory before reprogramming.

2. Using PDS/IDS 45.11/46.2 or later software, reprogram the PCM and/or TCM to the latest calibration (refer to Calibration Information table) by following the Module Reprogramming procedure.

NOTE:

^ Always update the PDS/IDS tool first, then follow on-screen instructions to download the needed calibration file for PCM/TCM reprogramming.

^ It is not necessary to remove any fuses or relays during PCM/TCM reprogramming when the PDS/IDS screen prompts you to do so. You may accidentally stop power to one of the PCM/TCM terminals and cause the PCM/TCM to be blanked, or you may receive error messages during the PDS/IDS reprogramming procedure.

^ PDS/IDS shows the calibration part numbers after programming the PCM.

^ Please be aware that PCM/TCM calibration part numbers and file names listed in any Service Bulletin may change due to future releases of PDS/IDS software, and additional revisions made to those calibrations for service related concerns.

^ When reprogramming a PCM/TCM, PDS/IDS will always display the latest calibration P/N available for that vehicle. If any calibration has been revised/updated to contain new information for a new service concern/issue, it will also contain all previously released calibrations.

^ When performing this procedure, we recommend that a battery charger be installed on the vehicle battery and turned ON to a maximum charge of no more than 20 AMPS to keep the vehicle battery up to capacity. If you exceed 20 AMPS, it could damage the VCM.

NOTE:
When reprogramming the 2007 CX-7 TCM, you will see the following IDS/PDS screen text displayed. For N.A. spec vehicles (United States) YOU MUST SELECT YES to program the correct calibration into the TCM.

After you select YES, the following screen appears. Select YES, here to continue.

3. After performing the PCM/TCM reprogramming procedure, verify the repair by starting the engine and making sure there are no MIL illumination or abnormal warning lights present.

NOTE:

^ If any DTCs should remain after performing DTC erase, diagnose the DTCs according to the appropriate Troubleshooting section of the Workshop Manual.

^ After PCM reprogramming, it is no longer necessary to road test the vehicle to relearn KAM (Keep Alive Memory).

4. Fill out an Authorized Modifications label (P/N 9999-95-AMDC-97) with the new PCM/TCM calibration information, your dealer code, and today's date.

5. Place the Authorized Modifications label on the A-pillar below the tear tag in the driver door jamb. The Authorized Modification label will inform technicians of the PCM calibration change if future repairs are necessary.

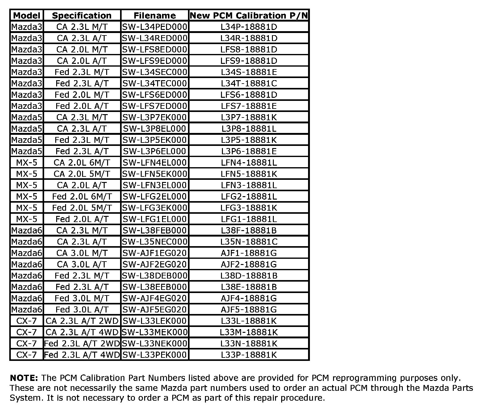
CALIBRATION INFORMATION





For PCM Reprogramming:





For TCM Reprogramming:

NOTE:
The TCM Calibration Part Numbers listed above are provided for TCM reprogramming purposes only.

These are not necessarily the same Mazda part numbers used to order an actual TCM through the Mazda Parts System. It is not necessary to order a TCM as part of this repair procedure.

WARRANTY INFORMATION

NOTE:

^ This warranty information applies only to those vehicles with VINS listed in the APPLICABLE MODEL(S)/VINS. Refer to the Warranty Wizard for warranty term information.





^ Additional diagnostic time cannot be claimed for this repair.





Disclaimer