LEMON Manuals: Even more car manuals for everyone: 1960-2025
Home >> Mazda >> 2007 >> CX-7 L4-2.3L Turbo >> Repair and Diagnosis >> Body and Frame >> Locks >> Keyless Entry >> Keyless Entry Transmitter >> Testing and Inspection
April 5, 2026: LEMON Manuals is launched! Read the announcement.

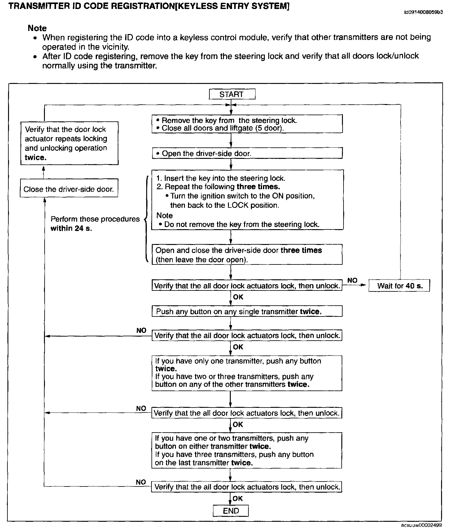
Keyless Entry Transmitter: Testing and Inspection